Základy výpočtů válečkových řetězů

Konstrukce řetězu

Generátor Válečkové řetězy je určen k návrhu řetězových pohonů s válečkovými a pouzdrovými řetězy. Tyto řetězy mohou mít jeden nebo několik pramenů. Jsou podporovány také řetězy s dvojnásobnou roztečí. Typická konstrukce válečkového a pouzdrového řetězu je uvedena na následujícím obrázku. Hlavní rozdíl je v  tom, že pouzdrový řetěz nemá váleček.

Komponenty válečkového řetězu

Komponenty válečkového řetězu

  1. vnější destička
  2. vnitřní destička
  3. ložiskové čepy
  4. pouzdro
  5. váleček

Pokud je délka řetězu sudým počtem roztečí, lze použít ke spojení dvou konců řetězu spojovací článek. Výkonová kapacita řetězu se obvykle nezmenší.

Má-li délka řetězu lichý počet roztečí, může se na jednom konci řetězu použít vyrovnávací článek. Potom se ke spojení obou konců řetězu může použít spojovací článek. Vyrovnávací článek obvykle zmenšuje výkonovou kapacitu řetězu. Míra zmenšení výkonu je dána typem a konstrukcí vyrovnávacího článku. Zvažujte zmenšení výkonové kapacity řetězu, které potřebujete ke zmenšení konstrukčního součinitele řetězu.

Napětí při opakovaném zatížení

Řetězy v řetězových pohonech jsou zatěžovány cyklickým napětím, takže na řetěz působí únavový jev. Typické schéma zatížení je uvedeno na následujícím obrázku. U různého uspořádání pohonů se schéma zatížení může lišit.

Opotřebení

Při návrhu pohonů s válečkovými řetězy je opotřebení velmi důležité. Válečkové řetězy jsou obvykle nejvíce ovlivněny opotřebením řetězového spoje a opotřebením řetězového kola.

Opotřebení řetězového spoje způsobuje prodloužení válečkových řetězů. Řetězová kola pro válečkové řetězy se navrhují tak, aby přípustné prodloužení řetězu opotřebením činilo maximálně 3 % (1,5 % u řetězů s dvojnásobnou roztečí). Jakmile se řetěz prodlouží nad tento bod, potom již nesedí na řetězových kolech a soustava nebude správně fungovat. Pro velká řetězová kola nebo pohony s pevnou vzdáleností mezi osami mohou existovat různá kritéria opotřebení řetězového spoje. Při výměně opotřebovaného řetězu doporučujeme vyměnit také řetězová kola.

Opotřebení řetězového spoje

Řetězové kolo se považuje za modifikaci tvaru zubů. Zuby začínají mít hákovitý tvar. U vodicího kolečka je opotřebení obvykle v dolní části ozubeného prostoru. Když se prostor ozubení opotřebí do určité hloubky, řetězové válečky se mohou začít při vstupu a výstupu z vodicího kolečka zadírat o vrcholy zubů. Řetězové kolo může být zdrojem rázového namáhání řetězu. Životnost opotřebeného řetězového kola může někdy prodloužit jeho obrácení na hřídeli.

Opotřebené hnací kolo válečkového řetězu

Opotřebené napínací kolo válečkového řetězu

Mazání

Chcete-li dosáhnout největší životnosti řetězového pohonu, je nutné zajistit dobré promazávání. Účinné mazání je záležitostí aplikace správného maziva tam, kde je potřebné nejvíce. Hlavním problémem je dostat dostatek čistého maziva na nosné plošky čepů, pouzder a válečků.

Ruční mazání: Olej se nanáší štětcem nebo dávkovačem nejméně každých 8 hodin provozu. Pohon je zastaven a energie do zdroje je přerušena. Množství a četnost by měly stačit k tomu, aby se zamezilo přehřívání řetězu nebo červenohnědému zabarvení (rez) v řetězových spojích.

Mazání po kapkách: Olej plynule odkapává na horní hrany spojovacích destiček nebo na boční lišty z okapničky. Množství a četnost by měly stačit k tomu, aby se zamezilo červenohnědému zbarvení (rzi) maziva v řetězových spojích. Obvyklý počet kapek je od 4 do 20 nebo více kapek za minutu. Je třeba učinit opatření, aby nedocházelo k odklonu kapek větráním.

Mazání pomocí lázně:Dolní větev řetězu prochází olejovou vanou v plášti hnacího ústrojí. Hladina oleje by měla během provozu dosahovat k roztečné linii řetězu v jeho nejnižším bodu.

Mazání kotoučem: Řetěz se pohybuje nad hladinou oleje. Kotouč nabírá olej z olejové vany a nanáší jej na řetěz, obvykle pomocí korýtka. Průměr kotouče by měl být takový, aby vytvářel přiměřenou obvodovou rychlost pro účinný sběr oleje. Vyšší rychlosti mohou být příčinou vzniku pěny a přehřívání.

Mazání plněním: Mazivo se přivádí oběhovým čerpadlem, které dodává do řetězového pohonu plynulý proud oleje. Olej by měl směřovat na uvolněný pramen a měl by se aplikovat uvnitř smyčky řetězu a rovnoměrně přes šířku řetězu tak, aby se olej dostal na všechny nosné plochy. Podle potřeby lze použít chladič oleje a olejový filtr.

Mazací olej by neměl obsahovat nečistoty a především brusné částice.

Třída viskozity mazacího oleje pro řetězový pohon je stanovena na základě teploty okolí jako:

Teplota okolí [°C]

-5 t +5

+5 t +25

+25 t +45

+45 t +70

Třída viskozity oleje

VG 68 (SAE 20)

VG 100 (SAE 30)

VG 150 (SAE 40)

VG 220 (SAE 50)

Přiměřené doporučené mazání se určuje podle velikosti a rychlosti řetězu a je uvedeno v následující tabulce:

kde:

A) Rozsah ručního mazání. Maximální rychlost řetězu je

ν = 2,8 p -0,56

B) Rozsah kapkového mazání. Maximální rychlost řetězu je

ν = 7 p -0,56

C) Rozsah mazání ponorem nebo mazání pomocí kotouče. Maximální rychlost řetězu je

ν = 35 p -0,56

D) Rozsah mazání plněním

Průběh opotřebení řetězového spoje během životnosti řetězu v závislosti na kvalitě mazání je uveden na následujícím obrázku:

kde:

 

a

Nemazaný řetěz v prostředí znečištěném brusnými částicemi

 

b

Nedostatečné mazání řetězu

 

c

Přiměřeně mazaný řetěz

Na začátku životnosti řetězu opotřebení obvykle probíhá rychle a v této fázi je známo jako počáteční opotřebení. Počáteční opotřebení lze minimalizovat předpětím řetězu, což někteří výrobci dělají. Předpětím se může prodloužit životnost řetězu.

Opotřebení řetězového spoje potom pokračuje, přičemž tento průběh je pomalý a je známo jako normální opotřebení. Opotřebení řetězového spoje potom pokračuje, přičemž tento průběh je pomalý a je znám jako normální opotřebení. Ke konci životnosti řetězu se míra opotřebení spojů řetězu opět zvyšuje.

Mez pevnosti v tahu řetězu F U

Mez pevnosti řetězu v tahu je nejvyšší zátěž, kterou řetěz dokáže v jedné aplikaci vydržet, než se přetrhne. Není to přípustné pracovní zatížení, ani měřené zatížení. Hlavním účelem stanovení minimální meze pevnosti je ujistit se, zda byl řetěz správně smontován. Generátor Válečkový řetěz používá minimální mez pevnosti pro stanovení součinitelů bezpečnosti z přerušení řetězu. S dodatečnými činiteli se také účastní ve výpočtu předpokládané životnosti článků řetězu nebo únavového jevu spojovacích destiček.

Výchozí hodnota meze pevnosti vychází z běžných doporučení pro danou velikost řetězu, ale pravděpodobně budete chtít zkonzultovat tento parametr se specifikacemi, které vám poskytl výrobce řetězu. Pevnost v tahu u řetězu stejné velikosti se může lišit podle různých výrobců řetězů stejně jako podle různých materiálů řetězu.

Konkrétní hmotnost řetězu m

Měrná hmotnost řetězu závisí na velikosti řetězu, konstrukci a materiálu. Výchozí hodnota pochází ze standardních doporučení nebo je to nejbližší hodnota ocelových řetězů vyráběných výrobci řetězů. Měrná hmotnost se používá k výpočtu odstředivé síly a také pro analýzu vibrací.

Součinitel konstrukce řetězu Φ

Konstrukční součinitel řetězu popisuje skutečnou kvalitu řetězu. Má přímý dopad na stanovení výkonu řetězu a také na přípustný tlak na nosnou plochu. Tento součinitel se obvykle rovná jedné. Je větší než jedna, pokud je řetěz vyroben z materiálu o větší pevnosti nebo pokud je kvalita řetězu lepší, než se uvádí ve státních normách.

Jmenovitý výkon řetězu P R

Přenášený výkon řetězu představuje výkon řetězu pro specifické provozní podmínky. Normálně je výkon řetězu omezen únavou spojovací destičky, únavou válečku a pouzdra opakovaným rázem a otěrem mezi čepem a pouzdrem. Viz diagram typického jmenovitého výkonu na následujícím obrázku.

kde:

 

A

výkon řetězového pohonu omezený únavou spojovací destičky

 

B

výkon řetězového pohonu omezený únavou válečku a pouzdra opakovaným rázem

 

C

výkon řetězového pohonu je omezen otěrem čepu s pouzdrem

Součinitel korekce výkonu

Rovnice jmenovitých výkonových údajů poskytují platný instalovaný výkon pro řetězové pohony, které pracují za určitých běžných provozních podmínek. Pokud řetězový pohon pracuje za pracovní podmínky, která se nerovná běžným provozním podmínkám, je třeba dle popisu níže zavést součinitele korekce výkonu.

Běžné provozní podmínky:

  1. řetězový pohon se dvěma řetězovými koly na paralelních horizontálních hřídelích;
  2. malé řetězové kolečko s 19 zuby;
  3. jednosměrný řetěz bez lomeného článku;
  4. délka řetězu:

    120 roztečí pro řetězy ISO,

    100 roztečí pro řetězy ANSI, CSN;

  5. převodový poměr 1:3 nebo 3:1
  6. předpokládaná životnost:

    15 000 hodin pro řetězy ISO, ANSI, DIN,

    10 000 hodin pro řetězy CSN;

  7. provozní teplota v rozmezí -5 ºC až +70 ºC;
  8. řetězová kola správně uspořádaná a zachování správného seřízení řetězu;
  9. stejnoměrný provoz bez přetížení, rázů nebo častých startů;
  10. čisté a dostatečné mazání po celou dobu používání řetězu;

Součinitel rázů Y

Provozní součinitel zohledňuje dynamické přetížení závislé na provozních podmínkách řetězového pohonu a charakteristikách hnacího a hnaného kola. Součinitel rázů se používá ke stanovení velikosti servisního faktoru a také dynamického součinitele bezpečnosti. Špičkové zátěže způsobené nečekanými rázy a špičkové zátěže se mohou podstatně zvýšit velkými momenty setrvačnosti hnacího a poháněného stroje. Generátor řetězů používá ve výchozím nastavení následující tabulku ke stanovení součinitele rázů.

Y

Aplikace

1,0

Klidný chod

1,5

Klidný chod s občasnými rázy

2,0

Nepatrné rázy, střední krátkodobé špičkové zatížení

3,0

Střední rázy, velké krátkodobé špičkové zatížení

4,0

Silné rázy, trvalé střední špičkové zatížení

5,0

Silné rázy, trvale silné špičkové zatížení

Provozní součinitel f 1

Součinitel dynamičnosti posuzuje dynamické přetížení závislé na provozních podmínkách řetězového pohonu, které vyplývají především z povahy hnacího a hnaného elementu. Hodnotu faktoru lze vybrat přímo nebo pomocí následující tabulky.

Charakteristika poháněného stroje

Charakteristika hnacího stroje

Klidný chod

Lehké rázy

Střední rázy

Klidný chod

1,0

1,1

1,3

Střední rázy

1,4

1,5

1,7

Silné rázy

1,8

1,9

2,1

Definice charakteristik hnacích strojů

Charakteristika hnacího stroje

Příklady typu stroje

Klidný chod

Elektromotory, parní a plynové turbíny a spalovací motory s hydraulickou spojkou

Lehké rázy

Spalovací motory se šesti nebo více válci s mechanickou spojkou, elektromotory vystavené častým startům (více než dvakrát denně)

Střední rázy

Spalovací motory s méně než šesti válci a mechanickou spojkou

Definice charakteristik poháněných strojů

Charakteristika poháněného stroje

Příklady typu stroje

Klidný chod

Odstředivá čerpadla a kompresory, tiskové stroje, rovnoměrně zatížené pásové dopravníky, papírové kalandry, eskalátory, zařízení pro míchání tekutin a míchačky, rotační sušičky, ventilátory

Střední rázy

Pístová čerpadla a kompresory se třemi nebo více válci, míchačky betonu, nerovnoměrně zatížené dopravníky, zařízení pro míchání tuhých látek a míchačky

Silné rázy

Rypadla; třecí válcové stroje a kulové mlýny; stroje na zpracování gumy; frézky, lisy, nůžky, čerpadla, kompresory s jedním nebo dvěma válci, ropné vrtné soupravy

Provozní součinitel je dle výchozího nastavení určen podle součinitele rázů podle diagramu uvedeného níže:

kde:

 

Y

Součinitel rázů [-]

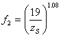
Součinitel velikosti řetězového kola f 2

Součinitel velikosti řetězového kola bere v úvahu počet zubů na malém řetězovém kolečku. Součinitel se rovná jedné, pokud rovnice pro stanovení výkonu berou v úvahu počet zubů nejmenšího řetězového kola v pohonu. Velikost nejmenšího kolečka může mít určitý dopad na každou část stanovení výkonu řetězu.

Pokud přizpůsobíte stanovení výkonu řetězu, je nutné také korigovat velikostní činitel řetězového kola. Pokud je stanovení výkonu určeno z tabulek pro určení výkonu s ohledem na počet zubů nejmenšího řetězového kolečka, měl by tento součinitel zůstat roven jedné. Pokud předepsané stanovení výkonu je získáno z diagramu pro stanovení výkonu, kde počet zubů nejmenšího řetězového kolečka není brán v úvahu, potom asi budete potřebovat upravit velikost tohoto součinitele. Součinitel velikosti řetězového kola ovlivňuje plánovaný výkon. Výchozím nastavením určuje generátor řetězů velikost součinitele jako

kde:

 

z s

Počet zubů na malém řetězovém kolečku [-]

Součinitelé násobných větví f 3

Stanovení výkonu pro řetězy s jedním pramenem je výchozím nastavením dáno rovnicemi pro stanovení výkonu. Stanovení výkonu pro řetězy s několika větvemi se rovná stanovení výkonu pro řetěz s jednou větví vynásobenému součinitelem Větev. Dle údajů v následující tabulce používá program jako výchozí zabudovanou tabulku. Součinitel pro řetězy s několika prameny se používá také v analýze předpokládané životnosti.

Prameny řetězu

1

2

3

4

5

6

f 3 [-]

1

1,7

2,5

3,3

3,9

4,6

Součinitel Mazání f 4

Součinitel mazání informuje program o tom, jak nedostatečné mazání ovlivňuje výkonovou kapacitu řetězu a také životnost. Pokud je zvoleno dostatečné mazání, velikost součinitele se rovná jedné, což tuto analýzu neovlivní. Bude-li muset být použito nedostatečné mazání, potom tento součinitel buď zmenší výkonovou kapacitu řetězu omezenou otěrem čepu s pouzdrem, nebo zvětší celý plánovaný výkon. Při výchozím nastavení používá tento program následující vestavěnou tabulku, která ukazuje vliv zvoleného mazání.

Rychlost řetězu

[m/s]

Součinitel Mazání [-]

Mazání

Bez mazání

Doporučené

Nedostatečné

Čisté prostředí

Znečištěné prostředí

do 4

1

0,6

0,3

0,15

do 7

0,3

0,15

Nepřípustné

do 12

Nepřípustné

více než 12

Součinitel Středová vzdálenost f 5

Minimální osová vzdálenost je polovinou součtu vnějších průměrů řetězového kola, aby se zamezilo rušivému přesahu zubů. Za účelem zabezpečení přiměřeného opásání na malém řetězovém kolečku (cca 120 stupňů) se doporučuje, aby minimální osová vzdálenost byla součtem vnějšího průměru velkého řetězového kola a jedné poloviny vnějšího průměru malého řetězového kola.

V praxi je dobré stanovit osovou vzdálenost na 30- až 50násobek rozteče řetězu. Nejdelší praktická vzdálenost představuje asi 80násobek rozteče řetězu, protože průvěs řetězu a napětí řetězu se do velké míry zvětšuje.

Součinitel osové vzdálenosti koriguje plánovaný výkon a zohledňuje rozdíl mezi skutečnou vzdáleností mezi osami od normálu. Důvod součinitele osové vzdálenosti vychází z modifikace rozdělení napětí zatížení a jeho vlivu na únavu řetězu. Výchozím nastavením je součinitel osové vzdálenosti určen následujícím vztahem:

kde:

 

f 5

součinitel osové vzdálenosti [-]

 

X B

počet článků řetězu pro normální provozní podmínky [-]

 

X

skutečný počet článků řetězu v pohonu [-]

součinitel Převod f 6

Součinitel převodu koriguje plánovaný výkon a bere v úvahu rozdíl převodového poměru od normálu. Důvod součinitele převodu vychází z modifikace rozdělení napětí zatížení a jeho vlivu na únavu řetězu. Výchozím nastavením se součinitel převodu určuje z níže uvedeného diagramu s ohledem na skutečný převodový poměr.

Převodový poměr je dán počtem zubů hnacího a hnaného řetězového kola.

pro z 1 < z 2 je i = z 2 / z 1

pro z 1 > z 2 je i = z 1 / z 2

kde:

 

f 6

součinitel převodu [-]

 

i

převodový poměr [-]

 

z l

počet zubů hnacího řetězového kola [-]

 

z 2

počet zubů poháněného řetězového kola [-]

Provozní součinitel životnosti f 7

Součinitel životnosti koriguje plánovaný výkon a přihlíží k rozdílu mezi požadovanou životností od normálu. Výchozím nastavením je součinitel převodu určen jako

kde:

 

f 7

Součinitel životnosti [-]

 

L h

Požadovaná životnost [hodiny]

 

L hB

Normálně očekávaná životnost [hodiny]

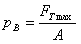
Tlak v analýze nosné plochy řetězu

Během provozu řetězového pohonu působí kolísající tahové zatížení na styčné plošky mezi čepy a pouzdry, což vyvíjí určitou míru tlaku na nosnou plochu řetězu. Pokud tento tlak překročí přípustný tlak na nosnou plochu řetězu, může se životnost řetězu podstatně zkrátit. Velikost skutečného tlaku na nosnou plochu se vypočte z maximálního napětí v délce řetězu takto:

kde:

 

p B

Skutečný tlak na nosné ploše řetězu [Pa]

 

F Tmax

Maximální napětí v napnuté délce řetězu [N]

 

A

Plocha ložiska řetězu [m 2 ]

Plocha ložiska řetězu A

Plocha ložiska řetězu je určena šířkou vnitřního článku řetězu a průměrem svorky. Skutečné hodnoty jsou definovány pro každý řetěz v datových souborech XML.

A = b 2 d 2

kde:

A plocha ložiska řetězu [m 2 ]

b 2 Šířka vnitřního článku řetězu [m]

d 2 průměr svorky řetězu [m]

Přípustný tlak na plochu ložiska řetězu p 0

Hodnoty přípustného tlaku na nosnou plochu řetězu uvedené v tabulce dole platí pouze pro běžné provozní podmínky. U specifických provozních podmínek se hodnota koriguje specifickým součinitelem tření λ. Výsledkem je celkový přípustný tlak. Celkový přípustný tlak je následně porovnán se skutečným tlakem na plochu ložiska řetězu.

Zde stanovený přípustný tlak lze použít pro běžné ocelové řetězy. U řetězů vyrobených z jiných materiálů bude třeba přípustný tlak odpovídajícím způsobem upravit.

Přípustný tlak získaný z výše uvedeného diagramu se také upravuje pomocí konstrukčního součinitele řetězu. Velikost přípustného tlaku je určena následovně:

p 0 = p B0 φ

kde:

 

p 0

Přípustný tlak na nosné ploše řetězu pro běžné provozní podmínky [Pa]

 

p B0

Specifický přípustný tlak na nosné ploše řetězu pro běžné provozní podmínky [Pa]

  φ

Konstrukční součinitel řetězu [-]

Specifický součinitel tření λ

Specifický součinitel tření koriguje přípustný tlak na nosné ploše řetězu. Velikost tohoto součinitele závisí na míře, v níž se skutečné provozní podmínky liší od běžných podmínek, a je definován jako

kde:

  λ

Specifický součinitel tření [-]

 

f 1

Součinitel dynamičnosti [-]

 

f 4

Součinitel mazání [-]

 

f 5

Součinitel osové vzdálenosti [-]

 

f 6

Součinitel převodu [-]

 

f 7

Součinitel životnosti [-]