Das LaRC02-Kriterium [55] identifiziert Faserversagen und Matrixrisse in einem unidirektionalen Verbundmaterial.
Faserausfälle werden nach drei möglichen Ausfallmodi unterschieden:
Matrixrisse werden nach drei möglichen Ausfallmodi unterschieden:
Wenn ein Fehlerindex (FI) gleich oder größer als 1,0 ist, tritt ein Ausfall auf (Faser- oder Matrixversagen).
In diesem Abschnitt werden Begriffe vorgestellt, die im Zusammenhang mit dem LaRC02-Ausfallkriterium häufig auftauchen.
XT = Wert von σ11 bei Ausfall durch Längszug
XC = Wert von σ11 bei Ausfall durch Längsdruck
YT = Wert von σ22 bei Ausfall durch Querzug
YC = Wert von σ22 bei Ausfall durch Querdruck
SL = Absoluter Wert von σ12 bei Ausfall durch Längsscherung
ST = Absoluter Wert von σ23 bei Ausfall durch Querscherung
α0 = Winkel der Bruchebene bei uniaxial wirkendem Querdruck (auf 53° festgelegt)
α = Winkel der Bruchebene, der den Fehlerindex maximiert
G12 = Längsschermodule










Bei positiver längsseitiger Normalspannung (σ11) wird der Modus "Faserausfall durch Zug" verwendet, um das Auftreten eines Faserausfalls zu ermitteln. Die Gleichung für das Zugfaserausfallkriterium lautet

Hierbei ist ε11 die aktuelle Längsdehnung und
die Längsdehnung bei Faserausfall durch Zug.
wird wie folgt aus der axialen Zugfestigkeit des Verbundmaterials berechnet:

Es gibt zwei Ausfallkriterien für den Faserausfall durch Druck. Der Spannungszustand bestimmt, welches von ihnen zur Auswertung des Faserausfalls verwendet wird. Faserausfall durch Druck wird in einem gedrehten Koordinatensystems ausgewertet. Bei positiver transversaler Normalspannung (
) wird das folgende Kriterium zur Auswertung von Faserausfällen verwendet.

Bei negativer transversaler Normalspannung (
) wird das folgende Kriterium zur Auswertung von Faserausfällen verwendet

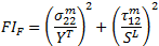
Das Ausfallkriterium "Matrixriss bei Zug" wird aufgerufen, wenn die transversale Normalspannung (σ22) positiv ist. Die Gleichung für das Ausfallkriterium lautet

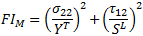
Es gibt zwei Ausfallkriterien für den Matrixausfall durch Druck. Der Spannungszustand bestimmt, welches von ihnen zur Auswertung des Matrixausfalls verwendet wird. Wenn die längsseitige Normalspannung (σ11) größer gleich der Querdruckfestigkeit (YC) ist, wird das folgende Kriterium zur Auswertung des Matrixausfalls verwendet.

Wenn die längsseitige Normalspannung (σ11) kleiner als die Querdruckfestigkeit (YC) ist, wird angenommen, dass sich das Material in einem mäßig biaxialen Druckzustand befinde. In diesem Fall wird das folgende Kriterium zur Auswertung des Matrixausfalls verwendet.

Dieses Kriterium verwendet Spannungen im gedrehten Koordinatensystem zur Berechnung der effektiven Spannungen.