Geben Sie die elastischen Konstanten und thermischen Koeffizienten für die Lage an.
Die folgenden Felder müssen auf der Registerkarte Konstanten angegeben werden (Felder J, K und L).

Dies sind die standardmäßigen Materialeigenschaften der Lage. Helius PFA behandelt die Lage als transversal isotropisch.
E11 (erforderlich): Elastizitätsmodul der Lage in Faserrichtung
E22 (erforderlich): Elastizitätsmodul der Lage in Querrichtung (Dieses Modul entspricht dem Modul E33.)
ν12 (erforderlich): Poissonzahl in der Ebene (Dieses Verhältnis entspricht dem Verhältnis ν13)
ν23 (erforderlich): Intralaminare Poissonzahl.
G12 (erforderlich): Schermodul der Lage in der Ebene (Dieses Modul entspricht dem Modul G13.)
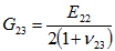
G23: Intralaminares Schermodul. Dieser Wert wird mit der folgenden Gleichung automatisch berechnet:

α11 (optional): Längskoeffizient der thermischen Ausdehnung der Lage. Dies ist nur erforderlich, wenn eine thermische Analyse benötigt wird.
α22 (optional): Querkoeffizient der thermischen Ausdehnung der Lage. Dies ist nur erforderlich, wenn eine thermische Analyse benötigt wird. (Dieser Koeffizient entspricht dem Koeffizienten α33)
Helius PFA behandelt die Eigenschaften der Faserkonstituenten als transversal isotropisch. Wenn die Konstituenteneigenschaften nicht bekannt sind, bietet Autodesk Konstituenteneigenschaften als Vorgabe, die durch Auswahl einer Faser im Dropdown-Menü für Fasertypen und dann durch Klicken auf Materialtypeigenschaften anwenden eingegeben werden können. Der Fasertyp bietet einen Ausgangspunkt für die Faserkonstituenteneigenschaften, die geändert werden, wenn die mdata-Datei in Korrelation mit den von Ihnen angegebenen Lageneigenschaften gespeichert wird. Derzeit sind Vorgabeeigenschaften nur für Kohlenstoff-, Glas- und Kevlar-Fasern verfügbar. Für andere Materialsysteme wenden Sie sich an Autodesk, um eine Materialcharakterisierung zu erhalten. Wenn eine thermische Analyse gewünscht wird, müssen die Koeffizienten der thermischen Ausdehnung eingegeben werden. Wenn Sie die Koeffizienten für die thermische Ausdehnung des Verbundmaterials bei null belassen, muss die thermische Ausdehnung der Fasern ebenfalls auf null gesetzt werden. Eine Beschreibung des Ursprungs der vorgabemäßigen Materialeigenschaften finden Sie in Anhang A.
Helius PFA behandelt die Eigenschaften der Matrixkonstituenten per Vorgabe als transversal isotropisch. Wenn Sie die isotropische Materialsymmetrie der Matrixkonstituente erzwingen möchten, aktivieren Sie das Kontrollkästchen Matrixeigenschaften isotropisch halten. Wenn die Konstituenteneigenschaften nicht bekannt sind, bietet Autodesk Konstituenteneigenschaften als Vorgabe, die durch Auswahl einer Matrix im Dropdown-Menü für Materialtypen und dann durch Klicken auf Materialtypeigenschaften anwenden eingegeben werden können. Der Matrixtyp bietet einen Ausgangspunkt für die Faserkonstituenteneigenschaften, die geändert werden, wenn die mdata-Datei in Korrelation mit den von Ihnen angegebenen Lageneigenschaften gespeichert wird. Derzeit sind Vorgabeeigenschaften nur für Duroplast-, thermoplastische und BMI-Harze verfügbar. Für andere Materialsysteme wenden Sie sich an Autodesk, um eine Materialcharakterisierung zu erhalten. Wenn eine thermische Analyse gewünscht wird, müssen die Koeffizienten der thermischen Ausdehnung eingegeben werden. Wenn die Koeffizienten der thermischen Ausdehnung des Verbundmaterials bei null verbleiben, muss auch die thermische Ausdehnung der Matrix auf null gesetzt werden. Eine Beschreibung des Ursprungs der vorgegebenen Materialeigenschaften finden Sie in Anhang A.