Las flechas de la viga deben comprobarse en dos circunstancias: cuando existe una carga de construcción con resistencia no compuesta y cuando existe una flexión compuesta completa con cargas de servicio. Si se selecciona la contraflecha, también afecta a los resultados de los cálculos de flechas.
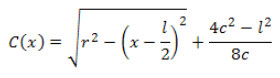
Si ha optado por utilizar contraflecha, esta se calculará antes que las flechas. A continuación, se utilizará para determinar las flechas verdaderas en las cargas de servicio. Por defecto, el 80% de las flechas con peso propio utilizan contraflechas con los tamaños mínimo, máximo y de paso establecidos por el usuario. Dado que las flechas pueden ser irregulares y no presentar su máximo en el centro de la viga, la contraflecha se puede calcular en cualquier punto de la viga suponiendo que la viga cuenta con una contraflecha en arco circular. El radio r del arco se puede hallar a partir de la cantidad de contraflecha utilizada "c" y la longitud de la viga l:

A continuación, la contraflecha en cualquier excentricidad "x" se puede hallar del siguiente modo:

Durante la construcción, la rigidez (y, por tanto, la flecha) de la sección solo procede de la sección de acero no compuesta. Para cada viga, se calculan las flechas bajo el peso propio de la losa, el peso de la sección de acero y cualquier otra carga de construcción y se comparan con los límites establecidos por el usuario. La rigidez E y el momento de inercia I de la sección de acero se utilizan para los cálculos de flechas.
Si se va a utilizar contraflecha en la viga, esta contraflecha se calcula primero. La flecha en un punto se define como la contraflecha en ese punto restada de la flecha de la viga bajo las cargas dadas. Se calculan con cargas de servicio (es decir, sin coeficientes). Los tipos de carga que se incluyen en este cálculo son los siguientes:
Los límites de la flecha de construcción se pueden establecer en una cantidad absoluta (el valor por defecto es 2 pulg.) o en una proporción relativa (el valor por defecto es L/500).
Las flechas de la viga con cargas de servicio se evalúan según dos criterios:
En el caso de flechas de cargas vivas, solo se calculan las flechas con cargas vivas. La contraflecha no se incluye en estos cálculos. Esta prueba está diseñada para representar el movimiento diferencial de la viga durante la ocupación y se basa únicamente en la rigidez y el momento de inercia de la sección compuesta (consulte más abajo el método de cálculo de la rigidez de las secciones de hormigón). La flecha de carga viva está limitada por una cantidad absoluta definida por el usuario (el valor por defecto es 2 pulg.) o una cantidad relativa definida por el usuario (el valor por defecto es L/360).
En caso de combinación, la flecha máxima se define como la flecha total con todas las cargas de servicio menos la contraflecha de la viga. Representa la distancia en que la viga se separa de la línea central en cualquier punto de su longitud. Sin embargo, dado que las flechas de peso propio se producen durante la acción no compuesta mientras que las flechas de carga viva se producen durante la acción compuesta, la rigidez y la inercia de las vigas son diferentes para cada caso y se deben calcular por separado para después sumarlas. Por lo tanto, la flecha total en el caso de combinación es igual a la suma de las flechas de peso propio (que utilizan I y E para el acero) y las flechas de todas las demás cargas de servicio (que utilizan I y E para la sección compuesta) menos la contraflecha (que se basa en un porcentaje de las flechas de peso propio). La flecha combinada está limitada por una cantidad absoluta (el valor por defecto es 2 pulg.) o una cantidad relativa (el valor por defecto es L/240).
Los cálculos de las flechas de carga de servicio requieren el uso de un momento de inercia efectivo basado en las propiedades elásticas de la sección compuesta. Las propiedades se calculan en función de la geometría de sección y (para la acción compuesta parcial) el porcentaje de la acción compuesta completa desarrollado por los entramados. A efectos de estos cálculos, se ignora la fluencia a largo plazo asociada con el hormigón.
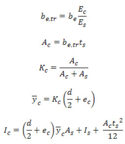
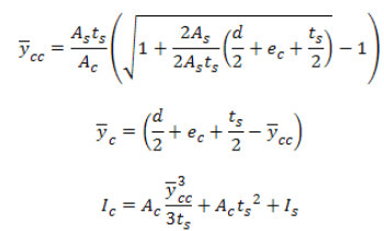
El primer paso es evaluar si el eje neutro elástico (E.N.A.) está en la losa o en la sección de acero. Esto se puede averiguar mediante las siguientes pruebas. Dependiendo de la condición, el momento de inercia transformado de la sección compuesta elástica se calcula utilizando el enfoque adoptado en Cheu (1996).
If

E.N.A. está en el acero:

If

E.N.A. está en la losa:

donde:
E c / Es = n: relación de rigidez modular

y c: distancia desde el centro de gravedad del acero hasta el eje neutro elástico
ec: distancia desde el ala superior de acero hasta el centro de gravedad del ala efectiva de hormigón
Is: momento de inercia de la sección de acero
Ic: momento de inercia transformado de la sección compuesta completa
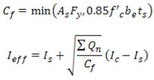
El momento de inercia efectivo de la sección compuesta parcial, I eff (que se utiliza para todos los cálculos de flechas de carga de servicio), se calcula utilizando la ecuación C-I3-3 del comentario de ANSI/AISC 360-10 en función de la relación de la resistencia del entramado (
) con la fuerza Cf del ala de compresión compuesta completa:
