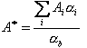
La función principal del módulo Definición de la sección es indicar las propiedades geométricas de la sección maciza definida. Para las secciones compuestas, solo se calculan las propiedades ponderadas (marcadas con *) mediante la siguiente fórmula:

donde:
i: el material de la sección compuesta en la posición i.
b: material de base de la sección compuesta.
Entre los resultados generales, se incluyen los siguientes valores, que se proporcionan como valores geométricos y ponderados: área, coordenadas del centro de gravedad, dimensiones y parámetros de material de base (módulo de Young, densidad y peso por unidad). Puede realizar cálculos adicionales (seleccione la opción adecuada y haga clic en Calcular).
Los factores de resistencia plástica en torno a los ejes principales (centrales) de la sección se calculan a partir de las siguientes fórmulas:

Un momento flector con respecto al eje Y o Z, que provoca la plastificación completa de una sección, es producto de un valor del factor de resistencia plástica en torno al eje Y o Z y un valor del límite de plasticidad. Las superficies de áreas iguales que proceden de la división mediante la línea neutra paralela al eje Y se representan mediante
. Las superficies de áreas iguales que proceden de la división mediante la línea neutra paralela al eje Z se representan mediante
.
Los resultados de los cálculos adicionales se muestran en la ficha Sistema principal del cuadro de diálogo Coord. principales.