Las cargas, en su gran mayoría, se originan en la gravedad (masas). Por lo tanto, el cálculo dinámico debe tener en cuenta estas masas. Con el fin de ofrecer al usuario una conversión sencilla de las cargas estáticas (cargas de gravedad) a masas, se ha aplicado el comando especial "MASses ACTive" en el analizador de archivos de texto.
Este permite a los usuarios definir la carga una sola vez para el análisis estático y, a continuación, utilizarla para crear una distribución de masa sobre el modelo de cálculo de la estructura con el fin de realizar un análisis dinámico.
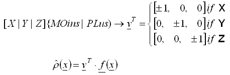
El comando necesita dos elementos para realizar una conversión correcta. El primero es el conjunto de direcciones en las que las masas están activas. Normalmente se utilizan todas las direcciones globales (X, Y, Z), ya que solo en ciertos cálculos específicos la inercia no actúa sobre todas ellas. La segunda es la magnitud de la inercia. Esta viene definida por el número de caso de la carga estática y la dirección de las cargas, que se tienen en cuenta durante la conversión. Además, se puede proporcionar un coeficiente adicional para multiplicar el valor de carga.
El carácter de la carga se transforma automáticamente en las masas: las fuerzas concentradas se transforman en masas concentradas; los momentos, en inercia rotacional; y las fuerzas distribuidas, en masas continuas.
ANA [ DIN | MOD | TRA | ARM | SISmico | ESPectral ], (afecta a todos los tipos de análisis dinámicos).
CASo (#<número> <nombre>)
MASess ACTive [X/Y/Z]
[X|Y|Z ] (MEnos|MAs) <lista_casos> COEficiente=<c>
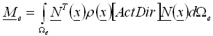
Consideremos r = r(x) una función de la distribución de densidad de masa dentro de un elemento determinado, mientras que N(x) será la matriz de funciones de interpolación de nudos (matriz de funciones de forma). Como base para el posterior tratamiento, se creará una matriz coherente de masas de un elemento de acuerdo con la siguiente fórmula general (1):
, (1) 
donde:

Los indicadores de actividad de dirección global se establecen mediante MASess ACTive [X/Y/Z]; es decir, cualquier dirección está activa si se especifica. Esto es consecuencia del estilo general de tratamiento de masas de Robot, por el que algunos componentes de las fuerzas de inercia pueden omitirse durante el análisis.
La matriz de masas se creará a partir de todas las cargas que pertenezcan a todos los casos de carga especificados en <lista_casos> y actuará en el elemento o nudo actual de acuerdo con las siguientes reglas:
, (2) 
, (3) 
Tomemos como ejemplo una viga con una carga central de gravedad de Fy= - 120 kN. Supongamos que el caso estático que se muestra a continuación tiene el número 3. Para calcular los modos de vibración libre de esta estructura en el caso número 10, teniendo en cuenta esta masa (Fx=Fy= 12 232 kg), se puede utilizar el siguiente comando:
ANA MOD=3 MAS=CON
CAS #10 modal
MASses ACTive X Y
Y MEnos 3

[Px=<px.>/Py=<py>/Pz=<pz>] (LOCal/GLObal) (PRoyectada) ([R=<r>])([R=<r>])
El vector de densidad de carga se transforma en direcciones globales según se especifica al definir:
(LOCal/GLObal) (PRoyectada) ([R=<r>]), teniendo en cuenta el indicador (PRoyectada) para el tratamiento de carga, y la distribución de masa uniforme se establece de acuerdo con (2) (3)
El peso propio se convierte en masa de forma equivalente a la carga uniforme del elemento
(X=<x1>)[ P=<p1>] ((JUSque)(X =<x2>)[P=<p2>] ) (R=<r>) (LOCal/GLObal) (RELativa) (PRoyectada)
la carga se transforma en direcciones globales según lo especificado al definir:
(LOCal/GLObal) (PRoyectada) ([R=<r>])
a continuación, la distribución de masa uniforme se establece de acuerdo con (2)(3)
 
 Fig. 1 
[X=<x>] [F=<f>](R=<r>) (Local)(RELativa)
La masa total m concentrada en un punto x 0 se evalúa a partir de la representación global del vector de fuerza f de la siguiente manera:
, (4) 
A continuación, se evalúa la matriz coherente de masas, como si la distribución de masas estuviera representada por la función delta de Dirac, lo que conduce a:
, (5) 
[X=<x>] [F=<fc>] (R=<r>) (LOCal)(RELativa)
Dado que la especificación de la dirección de masa no afecta a las direcciones de inercia rotacional, se debe establecer una regla independiente para realizar la conversión entre el momento concentrado del elemento y la inercia rotacional de un determinado cuerpo enlazado al elemento.
La transformación del estilo de vector de <fc> se realiza de acuerdo con los parámetros (R=<r>) (LOCal) para obtener un vector I relacionado con el sistema de coordenadas local del elemento. Para omitir la necesidad de transformar un estilo de vector incoherente (mientras se debe utilizar el tensorial), la carga debe indicarse como LOCal y no R=<r>; de lo contrario, se emitirá un aviso.
Se supone que las coordenadas locales del elemento coinciden con el eje principal de inercia del cuerpo, por lo que 
 representa los momentos de inercia principales en las coordenadas locales del elemento. De este modo, se genera la siguiente limitación de modelado: 
| 
 
 Fig. 2  | 
 Situación correcta 
 
 
 
 
 
 
 
 Situación incorrecta, imposible modelar  | 
[M=<m>] (LOCal)
En esta definición, <m> es un vector que, después de la transformación del estilo vectorial al sistema de coordenadas local del elemento, representa densidades de inercia rotacional referidas al eje local del elemento según la longitud del elemento.
Todas las nociones del momento de elemento concentrado (consulte la figura 2) se mantienen.
[Px=<px.>/Py=<py>/Pz=<pz>]
Se evalúa el vector de densidad de carga y, a continuación, se transforma en densidad de masa según (2)(3)
El peso propio se convierte en carga uniforme equivalente y se sigue tratando como se ha indicado anteriormente
[P=<p1>] AU <n1>( [P=<p2>AU<n2> ([P=<p3> AU<n3>))
En cada punto de integración, se evalúa la densidad de carga y, a continuación, se transforma en densidad de masa según (2)(3), véase la figura (1). Las reglas de integración mejorada se utilizan con:
NGAUS = 3x3 para Q8,
= 7 para T6,
= 2x2 para Q4,
= 3 para T3.
[P=<p1>] AU <n1>( [P=<p2>AU<n2> ([P=<p3> AU<n3>)) DIRección PRoyectada <v> _CONtorno <l_nudo>
En cada punto de integración, se evalúa la densidad de carga y, a continuación, se transforma en densidad de masa según (2)(3), véase la figura (1). En el caso de que no todo el área del elemento pertenezca al contorno, la integración automática completa de la malla de puntos de hasta 100 x 100 se realiza dentro del elemento para alcanzar la precisión de integración requerida. Por lo tanto, el uso de esta opción puede ralentizar en ocasiones el proceso de evaluación de la matriz de masas.
LIN
<n1>[P=<p1>] Jusque <n2> (P=<p2>) ( [LOCal (GAMma=<gamma>)] )
Solo la fuerza de translación se puede convertir en masa de elemento distribuida a lo largo de la línea.
La regla de integración de tipo Gauss de 3 puntos se utiliza en cada segmento de la línea que cruza el elemento. En cada integración, el vector de densidad de carga se transforma al sistema de coordenadas global y, a continuación, se trata de acuerdo con (2)(3) para evaluar la distribución de masa a lo largo de la línea.
NUDo (auxiliar)
F=<f> ( [R=<r>] )
Solo la fuerza de translación se puede convertir en masa del elemento (en el momento de elementos de viga, se permitió la conversión de la inercia de rotación; en este caso, está prohibida). El vector de fuerza <f> se transforma, si es necesario, al sistema de coordenadas global y, a continuación, se trata según (2),(3) para evaluar el valor de masa enlazado al punto dentro del elemento; a continuación, la matriz de masas se evalúa mediante (5). El elemento al que se enlazará la masa se busca de forma automática.
NUDo
F=<f> ( [R=<r>] )
Forzar el vector <f> tratado según (2)(3) para evaluar el valor de masa nodal
NUDo
F=<c> ( [R=<r>] )
Dado que la especificación de la dirección de masa no afecta a las direcciones de inercia rotacional, se debe establecer una regla independiente para realizar la conversión entre el momento concentrado del nudo y la inercia rotacional de un determinado cuerpo enlazado al nudo.
La transformación del estilo de vector de <fc> se realiza de acuerdo el parámetro (R=<r>) para obtener un vector 
 relacionado con el sistema global de coordenadas. Para omitir la necesidad de transformar un estilo de vector incoherente (mientras se debe utilizar el tensorial), no debe indicarse ningún valor como LOCal o R=<r>; de lo contrario, se emitirá un aviso. 
Se supone que las coordenadas globales coinciden con el eje principal de inercia del cuerpo, por lo que 
 representa los momentos de inercia principales en las coordenadas locales globales.