Añadir cableado permanente a un circuito

La adición de cableado al diseño es opcional. Puede crear circuitos sin cableado; ya que Revit mantiene la información asociada con el circuito.

Se puede añadir cableado permanente mediante uno de los siguientes métodos:

Las propiedades de circuito se utilizan para especificar el tipo de cable que se utiliza en un circuito. Consulte Propiedades de circuito.

Convertir un circuito en cableado permanente

  1. Resalte un componente en el circuito, pulse la tecla Tabulación para resaltar el circuito y haga clic para seleccionar el circuito.

Seleccionar el tipo de cableado para el circuito

  1. En el área de dibujo, haga clic en o para crear cableado en arco.

    El cableado en arco se utiliza a menudo para representar el cableado oculto dentro de los muros, techos y suelos.

  2. En el área de dibujo, haga clic en o para crear cableado en chaflán.

    El cableado en chaflán se utiliza a menudo para representar cableado expuesto.

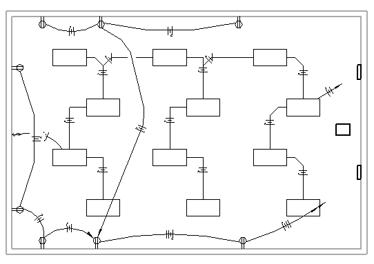
    En el ejemplo siguiente, el cableado en arco conecta las bases y el cableado en chaflán a las luminarias. Se añaden automáticamente retornos para indicar la conexión a un panel.

    La longitud por defecto del retorno del cable se genera en función de la escala de vista. Por ejemplo:
    • Con una escala de vista de 1:1, la longitud del retorno es de aproximadamente 6".
    • Con una escala de vista de 1/8:1, la longitud del retorno es de aproximadamente 36".