La longueur de pas de la courroie est déterminée par le nombre de dents et le pas circulaire. La trajectoire de la courroie dépend de la position de chaque poulie. Le diamètre primitif de chaque poulie se détermine à partir des équations ci-après. La position de la poulie coulissante est ajustée de manière à satisfaire aux critères de longueur de la courroie. Le calcul utilise une solution d'itération afin de déterminer la position de la poulie coulissante la plus proche de la position désirée.
Déterminer le diamètre primitif exact
|
|
Poulie synchrone en sens horaire ou courroie double-face |
|
|
|
|
|
Poulie plate en sens horaire ou courroie double-face |
|
D p = D + 2(a + h t ) |
|
|
|
Poulie synchrone en sens anti-horaire et courroie à face unique |
|
D p = D 0 + 2(H - a - h t ) |
|
|
|
Poulie plate en sens anti-horaire et courroie à face unique |
|
D p = D + 2(H - a - h t ) |
Exemple de transmission de puissance avec 2 poulies
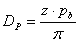
Arc de contact
Longueur de pas de la courroie
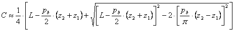
Distance au centre
La formule suivante est recommandée pour déterminer la distance au centre d'une nouvelle poulie
0.2 p b (z 1 + z 2 ) ≤ C ≤ 0.7 p b (z 1 = z 2 )
Signification des variables utilisées :
|
z |
Nombre de dents de la poulie considérée / Nombre de dents de la courroie [-] |
|
p b |
Pas circulaire [m] |
|
D |
Diamètre nominal de la poulie plate [m] |
|
a |
Décalage de ligne de pas [m] |
|
h t |
Hauteur de dent de la courroie [m] |
|
D 0 |
Diamètre externe de la poulie synchrone [m] |
|
H |
Hauteur de la courroie [m] |
|
C |
Distance au centre de la poulie considérée et de la poulie d'entraînement [m] |
| β |
Arc de contact [deg] |