L'ajout d'une installation électrique à votre projet est facultatif. Vous pouvez créer des circuits sans installation électrique ; Revit conserve les renseignements associés au circuit.
Une installation électrique permanente peut être ajoutée à l'aide de l'une des méthodes suivantes :
le groupe de fonctions Convertir en fil. Une fois l'installation électrique permanente créée, elle reste visible dans la vue lorsque le circuit n'est pas sélectionné.
groupe de fonctions Electrique.
Vous pouvez utiliser les propriétés des circuits pour spécifier le type de fil utilisé dans un circuit. Voir Propriétés des circuits.
Convertir un circuit en installation électrique permanente
Sélectionner le type d'installation électrique du circuit
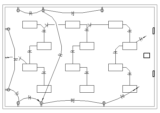
Les installations électriques en arc sont généralement utilisées pour représenter une installation électrique dissimulée dans les murs, les plafonds ou les sols.
Les câblages chanfreinés sont généralement utilisés pour représenter les installations électriques exposées.
Dans l'exemple suivant, l'installation en arc connecte les réceptacles et le câblage chanfreiné connecte les luminaires. Des flèches de renvoi sont ajoutées automatiquement pour indiquer la connexion à un panneau.
