Ortotropo 3D

Questo tipo di materiale non è supportato per le analisi esplicite. Dopo aver selezionato Otrotropo 3D nell'elenco a discesa Tipo, verranno visualizzate le seguenti sezioni di materiale: Generale, Rigidità, Taglio, Coefficiente di Poisson, Espansione termica, Valori consentiti e Termico.

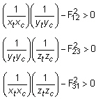
La stabilità materiale richiede che:

Se una delle due condizioni non viene soddisfatta, viene visualizzato un messaggio di avviso.

Potrebbe essere difficile trovare tutte le nove costanti ortotrope. In alcuni problemi pratici, le proprietà materiali potrebbero essere ridotte a una normale anisotropia in cui il materiale risulta essere isotropico su un piano (ad esempio, piano 1-2) e presenta diverse proprietà nella direzione perpendicolare a tale piano. Nel piano di isotropia, le proprietà vengono ridotte a:

con e .

Sono disponibili cinque costanti materiali indipendenti per la normale anisotropia (ovvero, , , , , e ). Se il materiale presenta un'anisotropia planare, in cui il materiale è ortotropo solo su un piano, le costanti elastiche vengono ridotte a sette (ovvero, , , , , , e ).