このセクションでは、ANSYS Mechanical APDL と ANSYS Workbench を使用して、Advanced Material Exchange によって生成された構造解析の結果を確認します。ここでは、ANSYS Mechanical APDL または ANSYS Workbench のどちらかを使用して有限要素の結果を表示し、必要なポストプロセスを実行する操作にユーザが精通しているものと想定します。このセクションでは、Advanced Material Exchange に固有の結果に焦点を当てます。
Advanced Material Exchange によって 12 個の状態変数(SVAR)が生成されます。このうち 11 個の SVAR は、モデルのコンター プロットで確認することができます。各 SVAR の簡単な説明については、「状態変数の出力」ページを確認してください。
通常、コンター プロットは状態変数の分布を調べる最も適切な方法です。
APDL でコンター プロットを生成するには:
Workbench で ANSYS Mechanical を使用してコンター プロットを生成するには:
プロットに使用可能な状態変数の数は、ANSYS 入力ファイルによって要求される SVAR の数に応じて完全に異なります。APDLで 11 よりも大きい SVAR の結果を表示するには、/GRAPHICS, FULL コマンドを使用してパワー グラフィックスをオフにする必要があります。詳細については、ANSYS ユーザ マニュアルを参照してください。
さらに役に立つ 3 つの SVAR は、SVAR1、SVAR9、および SVAR11 です。SVAR1 はガウス点の場所の劣化ステータスを表します。1.0 の値は損傷がないこと(破損なし)を示します。2.0 の値は、ガウス点が破損し、材料剛性が劣化したために破損が周囲の場所に進行することを示します。
SVAR9 は、母材材料の接線ヤング率を表します。接線剛性が劣化すると、構造には塑性変形、または軟化が発生します。
SVAR11 は、母材の有効応力を表します。SVAR11 がフォンミーゼスの破損基準の最大有効応力を超えると、破壊が発生します。SVAR11 は、材料が破損にどのくらい接近しているかを示します。
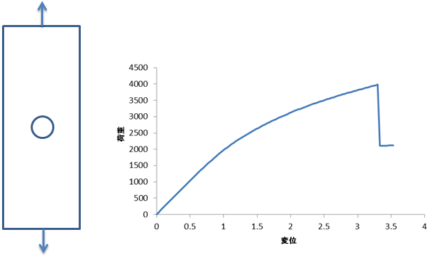
グローバルな構造破損を検出する、または損傷の特定の分布を構造剛性全体の減少に関連付けるには、まずグローバルな構造力とグローバルな構造変形の関係を調べる必要があります。このタイプの関係を調査するには、力と変形の単純な 2D プロットを使用するのが最良の方法です。
以下に示す射出成形されたプラークから加工された引張荷重のクーポン標本を考えます。荷重履歴の中で最大の破損が発生したポイントを判定するには、荷重 - 変位曲線を作成する必要があります。荷重を受けるすべての節点上の反力を合計すると、以下に示す荷重 - 変位プロットを生成することができます。大量の塑性が変位 1 から始まる構造に導入されていることがわかります。塑性変形は、およそ 3.25 の変位で大きな荷重低下が発生するまで継続します。この突然の荷重低下は、構造に壊滅的な破損が生じたことを示します。
仮にこのモデルに対して SVAR1 のコンター プロットを作成する場合、穴の周囲のいくつかの要素の値は 2.0 となり、およそ 3.25 の変位で壊滅的な破損が発生するでしょう。
