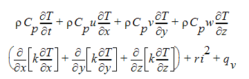
オーム発熱またはジュール発熱を検討する場合、非圧縮性流れに対して以下のエネルギー方程式が適用されます。

ここで、 i *は電流密度の大きさ、 *r *は抵抗率(材料プロパティ)です。この方程式に加え、オームの項 *ri2 の電流を特定するための方程式も解かれなければなりません。これには、電位の方程式が使用されます。

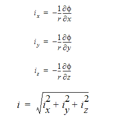
ここで、Φは電位であり、電流は以下のように求められます。

これらの方程式において使用される変数の定義を??表に示します。
| 変数 | 説明(SI 単位系) |
| Cp | 定圧比熱(J/kg-K) |
| i | 電流密度(amps/m2) |
| k | 熱伝導率(W/m-K) |
| qv | 体積発熱源(W/m3) |
| r | 抵抗率(Ohm-m) |
| T | 温度(K) |
| t | 時間(s) |
| u | X方向の速度成分(m/s) |
| v | Y方向の速度成分(m/s) |
| w | Z方向の速度成分(m/s) |
![]() | 密度(kg/m3) |
![]() | 電位(Volts) |
エネルギー方程式に対する境界条件には、通常の温度、熱伝導率、熱流束、外部の熱源に対する放射率を指定します。電位方程式上の境界条件として、電位および電流を指定しなければなりません。