解析特性
参考文献
White, F.M., Fluid Mechanics, McGraw-Hill (1986).
問題の説明
Autodesk® CFD の流体流れと乱流計算精度を検証するため、2 次元の円形パイプを解析します。
k-
乱流モデルを使用します。
パイプ直径に基づいたレイノルズ数
は 14,960 です。
圧力損失
は流入口の下流側に 50m 離れた位置で測定されます。

ジオメトリと境界条件

結果
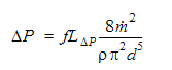
圧力損失の解析解と数値計算結果を比較します。White(1986年)による圧力損失
は次のようになります。

はダルシーの摩擦損失係数、
は質量流量、
は
が測定される配管長さです。ダルシーの摩擦係数は、以下のブラシウスの式により計算されます:

以下のパラメータを使用します:
=50.0m
=2350 
=14960上記の式では、以下の結果が得られます:
| ベンチマーク | 2018: ビルド 20170308 | 誤差 % | 2019: ビルド 20180130 | 誤差 % | |
![]() | 4.0e5 Pa | 397477.34 Pa | 0.63 | 397477.34 Pa | 0.63 |