ここでは、ヒートシンク材料の相関式と支配方程式に関する詳細を示します。
総熱抵抗:

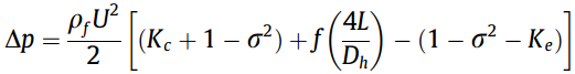
圧力損失:

収縮係数と膨張係数:

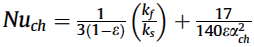
ヌッセルト数:

摩擦係数の相関式:

マイクロ チャネル設定の相関式は、幾何学的条件と動作条件に応じて変わる場合があります:

総熱抵抗:

圧力損失:

収縮係数と膨張係数:

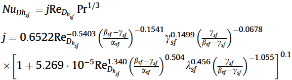
ヌッセルト数:

イン ラインの摩擦係数の相関式:

千鳥格子の摩擦係数の相関式:

ピン/フィン設定の相関式は、幾何学的条件と動作条件に応じて変わる場合があります:

総熱抵抗:

圧力損失:

収縮係数と膨張係数:

ヌッセルト数:

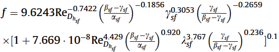
摩擦係数の相関式:

オフセット領域設定の相関式は、適度なプラントルのすべてのガスおよびほとんどの液体に適用されます。
ヒートシンク相関式には、次の一般的な変数が使用されます:

用語
a はオフセット領域のフィンの長さ(m)です。
b はオフセット領域のフィンの厚さ(m)です。
cpf は比熱(J/kg K)です。
d は直径(m)です。
Dh は水力直径(m)です。
f は摩擦係数です。
H はフィンの高さ(m)です。
K は熱伝導率(W/m K)です。
Kc は急激な収縮の係数です。
Ke は急激な膨張の係数です。
L は流動方向のヒートシンクの長さ、加熱領域の長さ(m)です。
Lc は特性長さ(m)です。
N はフィンの数です。
NT は横方向のフィンの数です。
NL は流動方向のフィンの数です。
Nuch はチャネル幅と高さに基づくヌッセルト数です。
Nud は直径 d に基づくヌッセルト数です。
NuDh は水力直径 Dh に基づくヌッセルト数です。
NuL は長さ L に基づくヌッセルト数です。
P はパワー(W)です。
Pr はプラントル数です。
R は熱抵抗(K/W)です。
Red は直径 d に基づくレイノルズ数です。
ReDh は水力直径 Dh に基づくレイノルズ数です。
ReL は長さ L に基づくレイノルズ数です。
ST は円形ピン フィンの横方向のフィンの間隔(m)です。
SL は円形ピン フィンの流線方向のフィンの間隔(m)です。
s はオフセット領域フィンの横方向のフィンの間隔(m)です。
t はベースの厚さ(m)です。
U は速度(m/s)です。
wch はマイクロチャネルの幅(m)です。
ww はマイクロチャネルのフィンの厚さ(m)です。
W はヒートシンクの幅(m)です。
ギリシャ記号
α はフィン特性長さ Lc の比率に対するフィンの高さです。
β はフィン特性長さ Lc の比率に対する横方向のフィンの間隔です。
Δp は圧力損失(Pa)です。
ε は wch/(wch + ww) として定義されている空隙率です。
ν f はフィン効率です。
ν o は全体的なヒートシンク効率です。
γ sf は b/a として定義されたフィンの長さ比率に対するオフセット領域のフィンの幅です。
λ cp は SL/dcp として定義された流線方向ピッチです。
μ は粘度(kg/m s)です。
ρ は密度(kg/m3)です。
σ は前面面積比率の単位です。
添え字
ch はチャネルを示します。
cp は円形ピン/フィンを示します。
f は流体を示します。
s は固体を示します。
sf はオフセット領域のフィンを示します。
tot は合計を示します。
最適化および比較スタディを含む詳細は、International Journal of Heat and Mass Transfer を参照してください。(20 May 2009). Multi-objective thermal design optimization and comparative analysis of electronics cooling technologies. (Publication 52 (2009) 4317-4326). Sidy Ndao, Yaov Peles, Michael K. Jensen.