流体を定義するために必要な基本的なプロパティがいくつかあります。これらの基本的なプロパティのほとんどは、複数の方法によって、温度、圧力、またはスカラーに基づいて変化させることができます。プロパティおよび指定可能な変化方法は、下表のとおりです。
物性値 | 変化方法 |
密度 | 一定、状態方程式、多項式、逆多項式、アレニウス、熱力学テーブル、区分直線近似、湿潤空気 実在気体の効果を考慮するために、密度およびガス定数を指定する方法ついては、下の注記を参照してください。 |
粘度 (動的粘度) | 一定、サザランド、べき乗、多項式、逆多項式、非ニュートンべき乗則、ハーシェル バックレー、カリュー、アレニウス、区分直線近似、熱力学テーブル、1次多項式、2次多項式 |
熱伝導率 | 一定、サザランド、多項式、逆多項式、アレニウス、熱力学テーブル、区分直線近似 |
比熱 | 一定、サザランド、多項式、逆多項式、アレニウス、熱力学テーブル、区分直線近似 |
圧縮性 | Cp/Cv(ガンマ、比熱比):圧縮性ガス解析にのみ有用です。 体積弾性係数:圧縮性液体解析にのみ有用です。下の注記を参照してください。 |
[放射率] これは、「放射解析」で役立ちます。流体において指定される放射率は、接触する壁面に指定されます。固体に設定された放射率が流体に設定された放射率に優先されます。 | 一定 温度で区分直線近似変化。(これは、スペクトル放射解析に役立ちます)。 |
| 壁面粗さ 摩擦効果を含めるための変数粗さの高さをシミュレートするのに役立ちます。 | 一定 壁面粗さプロパティの説明を参照。 |
相 キャビテーションのシミュレーンに使用します。 | 蒸気圧力を指定するか、蒸気特性を含む関連する材料を指定します。 |
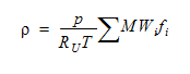
理想気体法則を使用しながら、実在気体の効果をシミュレートするには、流体の材料エディタの[密度]プロパティで、実在気体と一致するように[ガス定数]を変更します。混合気体の密度は次式によって計算します:

ここで、P は静圧(絶対値)、Ru は一般ガス定数、T は絶対静温度、MWi は気体 i の分子量、f i は気体 i のモル分率です。
この気体を Autodesk® CFD で解析するには、次に従って流体の材料エディタで[ガス定数]を変更します。

ここで、RT は Autodesk® CFD ウィンドウで[ガス定数]に入力する値です。
体積弾性係数と液体の密度は、液体中を伝播する音速を決定するためのキーです。
体積弾性係数の定義は次式で表されます:

音速aは次式で表されます:

この結果、音速は次式で計算できます:

出典: White, F. M., "Fluid Mechanics," McGraw Hill, New York, New York, 1986
体積弾性係数は、圧縮性液体(ウォターハンマー)の解析にのみ使用されます。材料データベースに登録されている圧縮性液体の体積弾性係数は、自動的に設定されています。ユーザーによって材料が定義された場合では、液体の圧縮性が解析される場合のみ、正しい体積弾性係数の値が必要となります。圧縮性液体の解析例、すなわちウォターハンマー現象を以下に説明します。
まっすぐなパイプ内を10in/sの水が流れています。突然、パイプの終端に存在するバルブが閉じられました。圧力波動が、水の中を水の音速で移動します。この現象は、「ウォターハンマー」と呼ばれており、水の中を伝わる圧力波の移動を予測する非定常解析が必要です。音速を決定する比熱比と理想気体の仮定ではなく、水の密度と体積弾性係数を使用します。
粗さには、物理的な寸法(ドロップメニューから単位を選択できる)の入力が必要です。この粗さは、一般的に非常に小さい値です。例えば鋳鉄管では、0.25mm程度です。
流体に壁面粗さの値が指定された場合、ソルバーは、この値を流体に接する壁面に自動的に適用します。固体に設定された壁面粗さの値は、流体と接するすべてのサーフェスに適用されます。固体の壁面粗さとして、0(ゼロ)以外の値を設定した場合、これと接する流体に設定した壁面粗さではなく、固体に設定した壁面粗さが優先して使用されます。
壁面粗さは乱流壁面モデルで実現され、形状に影響を与えることはありません。壁面粗さを検討する場合には、流れは乱流でなければなりません。層流の場合、壁面粗さは無視されます。
壁面の乱流則が満足される条件下において、指定された壁面粗さが最高の条件で作用します。すなわち、壁面から最も近い節点までの無次元距離(y+)35から350までの値とならなければなりません。メッシュ壁レイヤの厚さを自動的に変更して適切な Y + の値を確認するには、[実行]ダイアログでアダプティブを有効にして、[Y + アダプティブ]をオンにします。