PPIPE

Pipe Element Property

Description: Defines the properties of pipe elements (CPIPE entry).

Format:

Example:

Field Definition Type Default
PID Property identification number. Integer > 0 Required
MID Material identification number. Integer > 0 Required
OD Pipe outer diameter. Real > 0.0 Required
T Pipe wall thickness. 0.0 < Real ≤ OD/2.0 Required
P Internal pressure. Real or blank 0.0
EC End condition, one of the following character variables: CLOSED or OPEN.
CLOSED Both ends are closed.
OPEN Both ends are open.
Character CLOSED
NSM Nonstructural mass per unit length. Real or blank 0.0

Remarks:

  1. PPIPE entries must all have unique property identification numbers.
  2. For structural problems, PPIPE entries may only reference MAT1 material entries.
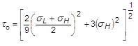
  3. Hoop stress due to internal pressure and longitudinal, shear, and torsional stress due end forces and moments are combined to generate invariant stresses as follows:

    Maximum shear stress:

    Maximum principal stress:

    Octahedral shear stress: