Description: Defines the properties of beam elements with optional taper (CBEAM entry).
Format:
The next two continuations are repeated for each intermediate station as described in Remark 5, and SO and X/XB must be specified.
The last three continuations are:
Example: Tapered beam with A = 4.5 at end A and A = 6.7 at end B.
| Field | Definition | Type | Default | ||||||
|---|---|---|---|---|---|---|---|---|---|
| PID | Property identification number. | Integer > 0 | Required | ||||||
| MID | Material identification number. See Remark 2. | Integer > 0 | Required | ||||||
| A(A) | Area of the beam cross-section at end A. | Real > 0.0 | Required | ||||||
| I1(A) | Area moments of inertia for bending in plane 1 about the neutral axis. See Remark 8. | Real > 0.0 | Required | ||||||
| I2(A) | Area moments of inertia at end A for bending in plane 2 about the neutral axis. See Remark 8. | Real > 0.0 | Required | ||||||
| I12(A) | Area product of inertia at end A (I1 * I2 > I12 2 ). See Remark 8. | Real | 0.0 | ||||||
| J(A) | Torsional constant at end A. See Remark 9. | Real or blank | 0.0 | ||||||
| NSM(A) | Nonstructural mass per unit length at end A. | Real | 0.0 | ||||||
| Ci(A), Di(A), Ei(A), Fi(A) | The y and z locations (i = 1 corresponds to y and i = 2 corresponds to z) in element coordinates relative to the shear center at end A for stress data recovery. | Real | 0.0 | ||||||
| SO | Stress output request option.
|
Character | Required | ||||||
| X/XB | Distance from end A in the element coordinate system divided by the length of the element. See Remark 9. | Real > 0.0 | See Remark 4 | ||||||
| A, I1, I2, I12, J, NSM | Area moments of inertia, torsional stiffness parameter, and nonstructural mass for the cross-section located at x. | Real | See Remark 5 | ||||||
| Ci, Di, Ei, Fi | The y and z locations (i = 1 corresponds to y and i = 2 corresponds to z) in element coordinates relative to the shear center for the cross-section located at X/XB. The values are fiber locations for stress data recovery. | Real | See Remark 6 | ||||||
| K1, K2 | Area factors for shear for plane 1 and 2. | Real | See Remark 7 | ||||||
| S1, S2 | Shear relief coefficient due to taper for plane 1 and 2. | Real | 0.0 | ||||||
| NSI(A), NSI(B) | Nonstructural mass moment of inertia per unit length about nonstructural mass center of gravity at end A and end B. See Remark 9. | Real | 0.0, same as end A | ||||||
| M1(A), M2(A), M1(B), M2(B) | (y,z) coordinates of center of gravity of nonstructural mass for end A and end B. See Remark 9. | Real | 0.0 (no offset from shear center), same values as end A | ||||||
| N1(A), N2(A), N1(B), N2(B) | (y,z) coordinates of neutral axis for end A and end B. See Remark 9. | Real | 0.0 (no offset from shear center), same values as end A | ||||||
| C | Coefficient to determine torsional stress. | Real or blank | See Remark 8 | ||||||
| F0 | Preload. | Real or blank | 0.0 |
Remarks:
and
, respectively. The default values for K1 and K2 are infinite; in other words, the transverse shear flexibilities are set equal to zero.
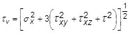
where the transverse shear stress is determined using:
and
and
are the element transverse shear forces and
and
. The torsional stress is determined using:
where T is the torsional moment. The torsional stress coefficient, C, should be selected as the maximum wall thickness for open sections and the radius for circular sections.
Figure 1. PBEAM Element Coordinate System