설계에 배선을 추가하는 것은 선택 사항입니다. Revit에서 회로와 연관된 정보를 유지하고 있으므로 배선 없이 회로를 작성할 수 있습니다.
다음 중 한 가지 방법을 사용하여 영구 배선을 추가할 수 있습니다.
와이어로 변환 패널에서 도구를 사용하여 선택한 회로에 영구 배선을 추가합니다. 영구 배선을 작성하면 회로를 선택하지 않은 경우에도 배선이 뷰에 계속 표시됩니다.
전기 패널에서 와이어 추가 도구를 사용하여 영구 배선을 수동으로 작성할 수도 있습니다.
회로 특성을 사용하여 회로에 사용되는 와이어 유형을 지정할 수 있습니다. 회로 특성을 참고하십시오.
회로를 영구 배선으로 변환
회로에 사용할 배선 유형을 선택합니다.
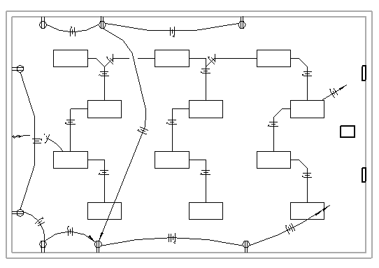
호 배선은 벽, 천장 또는 바닥에 숨겨진 배선을 나타내는 데 자주 사용됩니다.
모따기된 배선은 노출된 배선을 나타내는 데 자주 사용됩니다.
다음 예에서는 호 배선으로 리셉터클을 연결하고, 모따기된 배선으로 조명 설비를 연결합니다. 패널에 대한 연결을 나타내도록 귀로가 자동으로 추가됩니다.
