스플라인을 스케치할 때 최대한 간단한 선(또는 선 조합)을 사용하여 원하는 결과를 얻습니다.
예를 들어 다음 이미지와 비슷한 선을 작성해야 하는 경우가 있습니다.
이 선은 호와 선을 조합하여 작성할 수도 있고 스플라인을 사용하여 작성할 수도 있습니다. 스플라인을 사용하여 스케치한 선에는 더 많은 처리 시간이 소요되므로 가능한 한 스플라인 대신 호와 선 조합을 사용하는 것이 좋습니다.
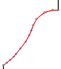
스플라인을 사용하여 선을 작성해야 하는 경우에는 처리 시간을 최소화하기 위해 최대한 적은 수의 제어점을 사용해야 합니다. 다음 이미지는 여러 제어점(파랑 점)을 선택하여 스케치한 스플라인입니다.
다음과 같이 더 적은 수의 제어점으로도 같은 스플라인을 작성할 수 있습니다.