마찰 계수

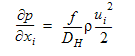
마찰 계수 방법을 사용하여 긴 길이의 튜브나 파이프를 시뮬레이션할 수 있습니다. 이 방법에서 과도 압력 강하는 다음과 같습니다.

마찰 계수

여기서 f는 마찰 계수이고 D*H***는 유압 지름입니다.

참고: 유압 지름 및 시뮬레이션된 파이프 길이 모두 두 방법에 필요한 특성입니다.

방법 1 Moody

Moody 공식에 따라 마찰 계수를 계산합니다. 장애물 거칠기 높이를 올바른 길이 단위로 입력합니다.

방법 2 마찰 계수 방정식

마찰 계수는 마찰 계수에서 결정됩니다.

레이놀즈 수는 파이프의 유압 지름을 기반으로 합니다. 계수 ab를 입력합니다.

참고: 마찰 계수는 무차원이지만 유압 지름은 올바른 길이 단위로 입력해야 합니다.