Obliczanie proporcji wytrzymałości pasa klinowego

Zastosowane równania ogólne

Gdzie m jest ciężarem właściwym pasa, określonym jako m = S ρ

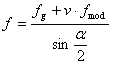
Zmodyfikowany współczynnik tarcia danego koła pasowego

f = f g + v f mod

Koło napędowe i podstawowe równania pasa

Moc do przekazania

Prędkość pasa

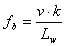
Częstotliwość elastyczności pasa

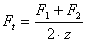
Efektywny naciąg (lub efektywne naprężenie)

Siła odśrodkowa

Fc = z m v 2

Rozciągnięcie długości całkowitej pasa

W następujących równaniach w aplikacji najpierw określane jest koło pasowe, które z największym prawdopodobieństwem wymaga maksymalnego rozciągnięcia pasa przy zakładaniu, aby przenieść określone obciążenie. Następnie rozciągnięcie pasa w każdym obszarze jest dostosowywane odpowiednio do wszystkich kół, przy uwzględnieniu początkowego rozciągnięcia pasa przy zakładaniu.

F 1i - F p P xi - F 2i = 0

Kryterium najbardziej podejrzanego koła pasowego jest maksymalnym rozciągnięciem ciasnego boku

F 1max = max (F 1i )

Całkowite maksymalne rozciągnięcie pasa (dla każdego pasa), gdy napęd pasowy jest pod pełnym obciążeniem, jest określane jako

Wyrażenie "k 1 F 1max ” to rzeczywiste maksymalne rozciągnięcie długości całkowitej pasa określone dla wszystkich pasów napędu pasowego. W ten sposób wszystkie odpowiadające rozciągnięcia poszczególnych długości całkowitych są ponownie przeliczane tak, aby spełniały następujący warunek:

F 1i - F P P xi - F 2i = 0

Wynikowe obciążenie osiowe dla każdego koła pasowego, gdy napęd pasowy jest pod pełnym obciążeniem

Uwaga: Dla napędzanych kół pasowych i kół pośrednich F 1 i F 2 są odwrócone w kreatorze, zatem F 1 jest rozciągnięciem pasa na wejściu, natomiast F 2 jest rozciągnięciem całkowitej długości pasa na wejściu w znaczeniu ruchu pasa.

Rozciągnięcie pasa przy zakładaniu i statyczna siła rozciągająca

Wymagane rozciągnięcie pasa przy zakładaniu (dla każdego pasa) może być dopasowywane poprzez współczynnik naprężenia, a następnie określane w następujący sposób:

Statyczna siła rozciągająca F v jest określana dla każdego koła pasowego. Program oblicza siłę rozciągającą wzdłuż linii środkowej na całej długości pasa w następujący sposób:

Znaczenie użytych zmiennych:

F Siła styczna [N]
β Łuk opasania [stopnie]
α Kąt klina [stopnie]
C Siła odśrodkowa [N]
N Normalna siła [N]
m Ciężar właściwy pasa [kg/m]
v Prędkość pasa [m/s]
R Promień koła pasowego [m]
S Obszar przekroju poprzecznego pasa [m 2 ]
T Moment obrotowy działający na danym kole pasowym [Nm]
D p Podział średnicy koła pasowego [m]
k Liczba kół pasowych [-]
P moc do przekazania [N]
v Prędkość pasa [m/s]
F c Siła odśrodkowa [N]
F 1 Rozciągnięcie długości całkowitej pasa na wejściu dla danego koła pasowego [-]
F 2 Rozciągnięcie długości całkowitej pasa na wyjściu dla danego koła pasowego [-]
f Zmodyfikowany współczynnik tarcia danego koła pasowego [-]
P x Współczynnik mocy danego koła pasowego [-]
f g Współczynnik tarcia materiału danego koła pasowego i pasa [-]

f mod

Współczynnik prędkości po zmodyfikowaniu tarcia [s/m]
Z Liczba pasów [-]
ρ Gęstość pasa [kg/m3]
F t Rozciągnięcie pasa przy zakładaniu [N]
F v Statyczna siła rozciągająca dla danego koła pasowego [N]
k 1 Współczynnik rozciągliwości pasa [-]
Uwaga: i - indeks koła pasowego