Edycja niestandardowych równań rozwinięcia

Użyj równań utworzonych przez użytkownika, aby dokładnie określić sposób obliczenia spłaszczenia stref zagięcia w zawiniętych modelach części konstrukcji blachowej.

Części konstrukcji blachowej są definiowane wg ich formy zwiniętej lub funkcjonalnej, ale wytwarzane są z płaskiego arkusza. Zagięcia rozwinięte w celu ukształtowania rozwinięcia blachy powodują odkształcenie materiału w strefie zagięcia. Stopień odkształcenia zależy od wielu zmiennych. Przekształcanie materiału zwiniętego do formy płaskiej wymaga uwzględnienia deformacji za pomocą trzech metod:

Równania utworzone przez użytkownika są określone w nazwanej regule rozwijania określonej za pomocą okna dialogowego Edytor stylów i standardów.

Typ Kompensacja zagięcia

Równanie kompensacji zagięcia umożliwia określenie całkowitej rozwiniętej długości:

gdzie:
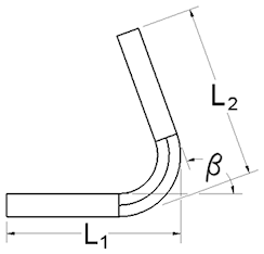
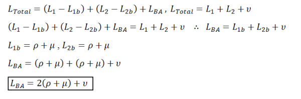
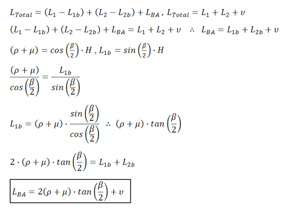
  • . jest całkowitą rozwiniętą długością.
  • . jest długością od pierwszej powierzchni szczegółu do kąta wirtualnego.
  • . jest długością od drugiej powierzchni szczegółu do kąta wirtualnego.
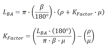
  • . jest wynikiem obliczenia naddatku na zagięcie. Program Inventor oblicza naddatek na zagięcie za pomocą poniższych równań. W przypadkach kątowych, w których , w programie Inventor używane jest równanie , gdzie:
    • . jest kątem zagięcia.
    • . jest długością naddatku na zagięcie.
    • . jest wewnętrznym promieniem zagięcia płyty.
    • . jest grubością arkusza.
    • . jest wynikiem obliczenia naddatku na zagięcie.

Rozszerzenie początkowego równania, aby zawrzeć w nim obliczenie naddatku na zagięcie powoduje:

W przypadkach kątowych, w których , stosowane jest następujące równanie:

Rozszerzenie początkowego równania, aby zawrzeć w nim obliczenie naddatku na zagięcie powoduje:

Po wyznaczeniu naddatku na zagięcie współczynnik K można wyprowadzić, korzystając z równania:

Typ Odliczenie na zagięcie

Równanie odliczenia na zagięcie umożliwia określenie całkowitej rozwiniętej długości:

gdzie:
  • . jest całkowitą rozwiniętą długością.
  • . jest długością od pierwszej powierzchni szczegółu do kąta wirtualnego.
  • . jest długością od drugiej powierzchni szczegółu do kąta wirtualnego.
  • . jest wynikiem obliczenia naddatku na zagięcie.

Równanie odliczenia na zagięcie zapewnia metodę obliczania, która jest dokładnym przeciwieństwem metody kompensacji zagięcia.

Dla odliczeń zagięcia program Inventor oblicza naddatek na zagięcie za pomocą poniższych równań.

Dla przypadków kątowych:

równaniem jest , gdzie:
  • . jest kątem zagięcia.
  • . jest długością naddatku na zagięcie.
  • . jest wewnętrznym promieniem zagięcia płyty.
  • . jest grubością arkusza.
  • . jest wynikiem obliczenia naddatku na zagięcie.

W przypadkach kątowych, w których , zastosowanym równaniem jest:

Typ Naddatek na zagięcie

Równanie naddatku na zagięcie umożliwia określenie całkowitej długości rozwiniętej, gdzie:
  • . jest całkowitą rozwiniętą długością.
  • . jest długością pierwszej płyty zagięcia.
  • . jest długością drugiej płyty zagięcia.
  • . jest wynikiem obliczenia naddatku na zagięcie.

Określone równanie jest dostarczone, aby bezpośrednio obliczyć naddatek na zagięcie. WspółczynnikK można wyprowadzić za pomocą poniższego równania:

Typ WspółczynnikaK

Określenie całkowitej rozwiniętej długości za pomocą metody WspółczynnikaK wymaga użycia równania:

gdzie:
  • . jest całkowitą rozwiniętą długością.
  • . jest długością pierwszej płyty zagięcia.
  • . jest długością drugiej płyty zagięcia.
  • . jest wynikiem obliczenia naddatku na zagięcie.

naddatek na zagięcie jest obliczany przy użyciu poniższego równania:

Edycja niestandardowych równań rozwinięcia

Podczas edycji nazwanej reguły rozwijania można określić cztery typy równań utworzonych przez użytkownika.

Typ równania wybranego w oknie dialogowym Edytor stylów i standardów określa zmienną definiującą lewą stronę równania. Klawisze wprowadzania znaków w oknie dialogowym Edycja równania umożliwiają wprowadzenie za pomocą jednego kliknięcia: kąta, promienia, grubości i Pi.

Typ zmiennej jest określony przez Typ równania wybranego w oknie dialogowym Edytor stylów i standardów przed otwarciem okna dialogowego Edytor równania.

  1. W oknie dialogowym Edytor stylów i standardów, gdy dla opcji Metoda rozwijania wybrana jest wartość Równanie niestandardowe, kliknij dwa razy komórkę Równanie niestandardowe znajdującą się po lewej stronie warunku granicznego, dla którego ma zostać określone równanie utworzone niestandardowe.
  2. W oknie dialogowym Edycja równania wprowadź równanie określające zmienną znajdującą się poza polem wprowadzenia równania:
    • . Wprowadza zmienną mierzonego kąta do równania rozwijania utworzonego przez użytkownika.
    • . Wprowadza zmienną mierzonego wewnętrznego promienia do równania rozwijania utworzonego przez użytkownika.
    • . Wprowadza zmienną mierzonej grubości do równania rozwijania utworzonego przez użytkownika.
    • . Wprowadza matematyczną wartość Pi do równania rozwijania utworzonego przez użytkownika.
    • W polu wpisywania równania przy użyciu klawiatury można wprowadzić niestandardowe równanie rozwijania.
  3. (Opcjonalnie) Aby zmienić typ zmiennej, w przypadku której obliczono równanie niestandardowe, kliknij przycisk Anuluj i wybierz prawidłowy typ równania w oknie dialogowym Edytor stylów i standardów.

Edycja warunków granicznych niestandardowego równania rozwijania

Użytkownik może definiować równania rozwijania w przypadku zakresów kątów, promieni lub grubości, określając warunki graniczne w oknie dialogowym Edycja ograniczenia.

  1. Gdy dla opcji Metoda rozwijania w oknie dialogowym Edytor stylów i standardów wybrano wartość Równanie niestandardowe, kliknij dwukrotnie komórkę Warunek ograniczający dostępną po prawej stronie równania niestandardowego, w przypadku którego zostanie określony warunek graniczny.
  2. W oknie dialogowym Edycja ograniczenia, w górnym wierszu menu rozwijanego wybierz operatory równania i typ zakresu, aby utworzyć równanie określające zakres wartości kąta, grubości lub promienia.
  3. W dolnych wierszach oraz w polach po lewej i prawej stronie wprowadź wartości określające granice warunków granicznych.