Przekroje ażurowe tworzone są przez zespawanie rozciętych podłużnie środników przekrojów walcowanych (dwuteowników walcowanych dostępnych w bazach przekrojów). Dostępne są dwa typy przekrojów: z otworami w kształcie sześciokąta lub z otworami okrągłymi.
Pręty ażurowe mogą być wymiarowane jedynie według polskiej normy stalowej.
Dla przekroju ażurowego można określić:
x = h + c dla otworów sześciokątnych
x = h + c + hs dla otworów sześciokątnych z podwyższeniem
x = H dla otworów okrągłych (H jest całkowitą wysokością przekroju określaną przez użytkownika)
|
otwory sześciokątne: c — podwyższenie przekroju w — odstęp między otworami, a — rozstaw otworów |
|
otwory sześciokątne z dodatkowym podwyższeniem: c — podwyższenie przekroju w — odstęp między otworami hs — wysokość dodatkowej wkładki a — rozstaw otworów |
|
otwory okrągłe: d — średnica otworów w — odstęp między otworami H — wysokość przekroju |
Charakterystyki geometryczne
Całkowita wysokość przekroju: h = h + C + h s
Pole przekroju dla przekroju pełnego
Ap = A + c * tw
Pole przekroju dla przekroju z otworem
Ao = A — c * tw
Pole przekroju poprzecznego teowego pasa (przekrój z otworem)
A = 0.5 * Ao
Pola przekroju czynne przy ścinaniu
Ay = 2 * bf * tf — pole przekroju półek
Az = tw * (h — 2 * tf — c) — pole przekroju środnika w najsłabszym przekroju — z otworem
Położenie środka ciężkości przekroju
vz = vpz = 0.5 * H
vy = vpy = 0.5 * bf
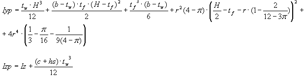
Momenty bezwładności odpowiednio względem osi Y i Z, przekroju złożonego z samych pasów:


Średnia arytmetyczna momentów bezwładności przekroju osłabionego i nieosłabionego

Moment bezwładności na skręcanie
Charakterystyki geometryczne
d — średnica otworów
w — odstęp między otworami
H — ‘nowa’ wysokość przekroju (całkowita wysokość przekroju podwyższonego)
Pole przekroju dla przekroju pełnego
Ap = A + (H — h) * tw
Pole przekroju dla przekroju z otworem
Ao = A + (H — h — d) * tw
Pole przekroju poprzecznego teowego pasa (przekrój z otworem)
A = 0.5 * Ao
Pola przekroju czynne przy ścinaniu
Ay = 2 * bf * tf — pole przekroju półek
Az = tw * (H — 2 * tf — d) — pole przekroju środnika w najsłabszym przekroju — z otworem
Położenie środka ciężkości przekroju
vz = vpz = 0.5 * H
vy = vpy = 0.5 * bf
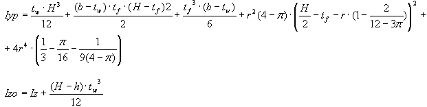
Momenty bezwładności odpowiednio względem osi Y i Z, przekroju złożonego z samych pasów
— dla przekroju pełnego

— dla przekroju z otworem

Średnia arytmetyczna momentów bezwładności przekroju osłabionego i nieosłabionego:

Moment bezwładności na skręcanie
Ciężar własny
Ponieważ przekrój ażurowy z otworami sześciokątnymi powstaje z przekroju standardowego (o znanych parametrach) bez żadnych niemalże strat (jedynie końce przekroju, które można zignorować), jego ciężar jest równy ciężarowi przekroju wyjściowego. W przypadku dodatkowego podwyższenia przekroju należy dodać do niego ciężar wkładek:
G = g + Gs
g — ciężar przekroju wyjściowego
gdzie:
h s *t w — pole przekroju wkładki
r s — ciężar właściwy stali
Zatem, ciężar własny
Ciężar właściwy przekroju ażurowego z otworami okrągłymi należy obliczać jako ciężar przekroju podwyższonego (o wysokości ‘H’) o pełnym przekroju poprzecznym, pomniejszony o ciężar otworów.
Ciężar dla przekroju wyjściowego (z bazy): g
Ciężar dla przekroju podwyższonego pełnego: g1 = g + rs * (H - h) * tw
Ciężar przekroju ażurowego z otworami okrągłymi:
Przekroje ażurowe są dostępne także w bazach przekrojów: