Otwory powinny mieć zastosowane dwa typy zbrojenia.
- Zbrojenie poziome (górne i dolne) jest obliczane w oparciu o zasady opisane normą BAEL 91/E.5.6, wynikające z działania średniego obciążenia "p", wywodzącego się z działania interakcji i momentów pionowych.
- W zbrojeniu pionowym w formie słupów ukrytych w ramach belek—ścian, ilość zbrojenia przypadająca na jedną stronę otworu jest równa przynajmniej połowie zbrojenia, które wystąpiłoby na powierzchni otworu. Długość zbrojenia wystającego poza granice otworu jest równe ls + l/2, gdzie ls — długość zakotwienia, l — szerokość otworu.
Obliczenia zbrojenia [w oparciu o BAEL 91/E.5.6]
Obliczenia zgodnie z metodą odciążania sklepienia:
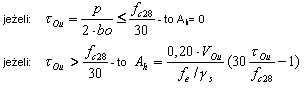
Warunek:
Obszar głównego zbrojenia poziomego
gdzie:
— Siła ścinająca w Stanie granicznym nośności.
p — siła w Stanie granicznym nośności w górnym poziomie otworu.
Obszar rozłożonego zbrojenia poziomego Ah
To zbrojenie powinno spełniać następujące warunki.
- Rozkład w dolnej i górnej części otworu na wysokości równej szerokości otworu.
- Przekrój tego zbrojenia odnosi się do otworu i jest niezwiązany ze zbrojeniem belek ścian.
- Zbrojenie jest zakotwione po obu stronach wzdłuż długości, nie mniejszej niż 1/3 szerokości otworu.
Zbrojenie pionowe— wstrzymane Ah
To zbrojenie powinno spełniać następujące warunki.
- Zapewniać możliwość wstrzymanie obciążenia w strefie 0.75l.
- Spinać zbrojenie A t,
- Przekrój tego zbrojenia odnosi się do otworu i jest niezwiązany ze zbrojeniem belek ścian.
- Przyjmować kształt U.
- s v — rozstaw zbrojenia powinien być równy = min (2b o; 33 cm).