Rozkład sił w spoinach od obciążenia równoległego do pasa

Rozkład sił w spoinach od obciążenia prostopadłego do pasa

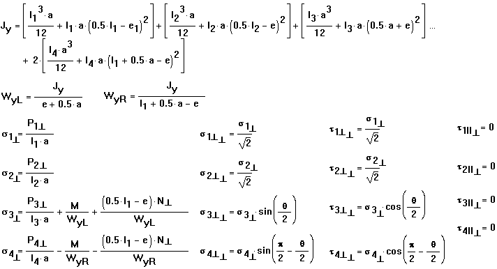
Rozkład naprężeń w spoinach podłużnych

Rozkład naprężeń w spoinach poprzecznych



Wzory na naprężenia wypadkowe w spoinach (kolejno: podłużna 1, podłużna 2, poprzeczna wewnętrzna 3, poprzeczna zewnętrzna 4)

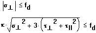
Warunek wytrzymałościowy:
Eurocode:

PN:
