Plastyczność ze wzmocnieniem

Parametry modelu plastyczności ze wzmocnieniem określone dla dodatnich argumentów x>0 (podawana jest również wartość pochodnej niezbędnej do określenia sztywności):

Funkcja:

Dla 0 < u < Dlim jest iloczynem funkcji f pl określonej jak dla modelu idealnej plastyczności określonej parametrami

oraz funkcji liniowej opisującej wzmocnienie:

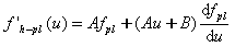
Pochodna (sztywność):

Ograniczenia:

Należy dodać, że współczynniki w i a są powiązane zależnością; w jest współczynnikiem ‘wypełnienia krzywej’ otrzymanym ze wzoru:

z powyższego wzoru otrzymana może zostać wartość parametru a: