Odpowiedź modalna jest wyznaczana przy użyciu następującego wzoru:
gdzie:
n — liczba postaci
e ij — współczynniki korelacji
R i , R j — odpowiedź spektralna do postaci i oraz j
W programie dostępne są następujące typy kombinacji kwadratowych:
Dla metody SRSS współczynniki korelacyjne wynoszą:
eij = 1 dla i=j,
eij = 0 dla i≠j,
zatem:
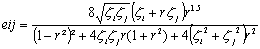
Dla metody CQC współczynniki korelacyjne obliczane są ze wzoru:
gdzie:
ζ i , ζ j — współczynniki tłumienia dla postaci i oraz j (wartości względne)
r = min (T i /T j ; T j /T i ) ≤ 1
T j , T i — okresy drgań dla postaci i oraz j.
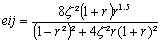
Powyższy wzór jest wykorzystywany w programie, gdy włączona jest opcja Uwzględnij tłumienie w oknie parametrów analizy modalnej. Gdy ta opcja jest wyłączona, jedna wartość tłumienia jest wykorzystywana dla wszystkich postaci i powyższy wzór przybiera postać:
gdzie Rdir1 jest maksymalną wartością poszczególnego elementu do danego składnika trzęsienia ziemi zdefiniowanego jako dir1; Rkdir1 jest maksymalną wartością odpowiedzi elementu ze względu na k—tą postać.
gdzie Rdir1 jest maksymalną wartością poszczególnego elementu do danego składnika trzęsienia ziemi zdefiniowanego jako dir1; Rkdir1 jest maksymalną wartością odpowiedzi elementu ze względu na k—tą postać (k <—> s); N jest liczbą postaci.

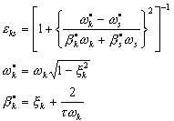
τ jest czasem trwania trzęsienia ziemi
ξk jest współczynnikiem tłumienia dla k—tej postaci
ωk jest pulsacją dla k—tej postaci (k <—> s).
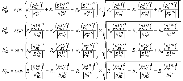
Wzory umożliwiające wyznaczenie kombinacji kwadratowej znakowanej RQ dla kierunków H1, H2 i V:

gdzie:

RH1 — odpowiedź kwadratowa wielkości obliczonej ze wszystkich odpowiedzi modalnych przypadku sejsmicznego lub spektralnego dla pierwszego kierunku poziomego.
RH2 — odpowiedź kwadratowa wielkości obliczonej ze wszystkich odpowiedzi modalnych przypadku sejsmicznego lub spektralnego dla drugiego kierunku poziomego.
RV — odpowiedź kwadratowa wielkości obliczonej ze wszystkich odpowiedzi modalnych przypadku sejsmicznego lub spektralnego dla kierunku pionowego.
Rx, Ry, Rz — współczynniki zdefiniowane jak dla kombinacji kwadratowej w oknie dialogowym Definicja kierunku.