Dla normy EC3 (ENV 1993-1-:1992) ugięcie wstępne obliczane jest z następującego wzoru:

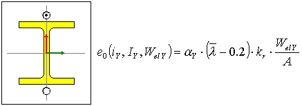
Obliczenie ugięcia wzdłuż osi Z (wyboczenie względem osi Y—Y):

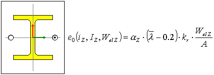
Obliczenie ugięcia wzdłuż osi Y (wyboczenie względem osi Z—Z):

Gdzie:
A — powierzchnia przekroju (A = SX)

a — Eurocode 3 tabela 5.5.3 i 5.5.1
— smukłość zredukowana, Eurocode 5.5.1.2 wzór (5.46)

Ze względu na złożoność obliczeń założono, że:

Re [Pa] — granica sprężystości materiału
l = l / i
Gdzie:
l = L * współczynnik długości wyboczeniowej
L — długość pręta

tabela 5.5.1
ks podane jest w tabeli 5.5.1 w zależności od gM1; w obliczeniach zawsze wykorzystywane są wartości podane w tej tabeli dla gM1 = 1.1:
Dla normy (EN 1993—1:2005) metody tabelarycznej ugięcie wstępne obliczane jest wg tabeli 5.1 artykuł 5.3.2 (3b). Wartość ugięcia jest zależna od długości pręta oraz wybranego typu analizy: sprężystej lub plastycznej.