Estas fórmulas são usadas para solucionar um eixo (com uma ou mais seções) ou uma viga (com uma seção constante) com múltiplos suportes e cargas.
O eixo do eixo / viga é alinhado com o eixo Z. Se é incluído no cálculo o impacto da densidade do material, então o vetor da gravidade é alinhado com o eixo Y. Se é incluído no cálculo o impacto da densidade do material, então o vetor da gravidade é alinhado com o eixo Y.
Forças de corte:
Momentos de vergadura:
Ângulo de deflexão:
onde:
| 
 E  | 
 módulo de elasticidade em tensão  | 
|
| 
 J  | 
 momento de inércia  | 
|
| 
 G  | 
 módulo de rigidez  | 
|
| β | 
 coeficiente de deslocamento do corte  | 
Deflexão:
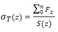
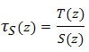
Tensão de vergadura:
Tensão de corte:
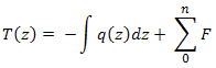
Tensão de torção:
Tensão:
Tensão reduzida:
onde:
| σ B | tensão de dobra | |
| σ T | 
 tensão  | 
|
| τ | tensão de torção | |
| τ S | tensão de corte | |
| α | α = 3 para HMH | |
| α = 4 para Tresca-Guest | 
Exemplo de cálculo
Módulo de elasticidade E= 210 000 MPa
Módulo de rigidez G = 81 000 MPa
Coeficiente de deslocamento de corte β=1,118
Modo de tensão reduzida: HMH
Não incluir a densidade do material.
Forças de suporte:
Tensão de corte máxima:
Tensão de torção máxima:
Momento máximo:
Tensão de dobra máxima:
Tensão reduzida máxima:
Ângulo de torção: