O comprimento da correia é determinado no sistema efetivo ou de referência. Por este motivo, os diâmetros de referência e efetivos são calculados primeiro para cada polia. A trajetória da correia é baseada na posição da polia individual. A posição da polia deslizante é ajustada para cumprir os critérios regulares de comprimento de correia. O cálculo utiliza a solução de iteração para localizar a posição adequada da polia deslizante que mais se aproxima da posição desejada (ou da atual).
Diâmetros das polias
| 
 
  | 
 Polia estriada  | 
| 
 D e = D w + 2 h w  | 
|
| 
 D p = D w + 2 a  | 
|
| 
 D d = D w  | 
|
| 
 
  | 
 Polia plana em sentido horário  | 
| 
 D e = D + 2 h  | 
|
| 
 D p = D + 2 (h - h w + a)  | 
|
| 
 D d = D + 2(h - h w )  | 
|
| 
 
  | 
 Polia plana em sentido anti-horário  | 
| 
 D e = D  | 
|
| 
 D p = D + 2 (h w - a)  | 
|
| 
 D d = D + 2 h w  | 
Exemplo de transmissão de potência com 2 polias
Este exemplo utiliza o sistema de referência.
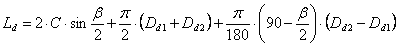
Arco de contato
Comprimento de correia de referência
Distância ao centro
Recomenda-se utilizar a fórmula a seguir para calcular a distância ao centro de uma nova transmissão
0.7 (D d1 + D d2 ) ≤ C ≤ 2(D d1 + D d2 )
Significado das variáveis utilizadas:
| 
 D W  | 
 Diâmetro nominal (de referência ou efetivo) [m]  | 
| 
 D e  | 
 Diâmetro efetivo (externo) de polia [m]  | 
| 
 h w  | 
 Altura nominal (para sistema efetivo h w = 0) [m]  | 
| 
 a  | 
 Deslocamento da linha de passo (no sistema efetivo é um valor negativo) [m]  | 
| 
 D  | 
 Diâmetro nominal e externo da polia plana [m]  | 
| 
 h  | 
 Altura da correia [m]  | 
| 
 D d  | 
 Diâmetro de referência da polia [m]  | 
| 
 C  | 
 Distância ao centro [m]  | 
| β | 
 Arco de contato [gr]  | 
| 
 L d  | 
 Comprimento de referência de correia [m]  |