Valores recomendados
d = (0,12 - 0,25) D
l = (1 - 1,5) D
Comprimento ativo do pino
O comprimento ativo do pino l f diminui com os chanfros e as concordâncias e costuma suportar a carga. e costuma suportar a carga.
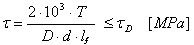
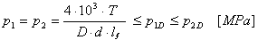
Fórmulas em unidades métricas
Torque transferido
Verificação de tensão de corte
Verificação de pressão de contato
onde:
| 
 P  | 
 potência transferida [kW]  | 
|
| 
 n  | 
 velocidade [rpm]  | 
|
| 
 T  | 
 torque [Nm]  | 
|
| τ | 
 tensão de corte [MPa]  | 
|
| 
 τ A  | 
 tensão de corte suportada [MPa]  | 
|
| 
 d  | 
 diâmetro do pino [mm]  | 
|
| 
 p 1  | 
 pressão no eixo [MPa]  | 
|
| 
 p 2  | 
 pressão no cubo [MPa]  | 
|
| 
 p 1A  | 
 pressão suportada no eixo [MPa]  | 
|
| 
 p 2A  | 
 pressão suportada no cubo [MPa]  | 
|
| 
 D  | 
 diâmetro do eixo [mm]  | 
|
| 
 D 1  | 
 diâmetro do cubo [mm]  | 
|
| 
 l f  | 
 comprimento ativo do pino [mm]  | 
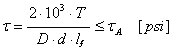
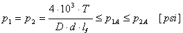
Fórmulas em unidades imperiais
Torque transferido
Verificação de tensão de corte
Verificação de pressão de contato
onde:
| 
 P  | 
 potência transferida [CV]  | 
|
| 
 n  | 
 velocidade [rpm]  | 
|
| 
 T  | 
 torque [libras/pés]  | 
|
| τ | 
 tensão de corte [psi]  | 
|
| 
 τ A  | 
 tensão de cisalhamento suportada [psi]  | 
|
| 
 d  | 
 diâmetro do pino [pol]  | 
|
| 
 p 1  | 
 pressão no eixo [psi]  | 
|
| 
 p 2  | 
 pressão no cubo [psi]  | 
|
| 
 p 1A  | 
 pressão suportada no eixo [psi]  | 
|
| 
 p 2A  | 
 pressão suportada no cubo [psi]  | 
|
| 
 D  | 
 diâmetro do eixo [pol]  | 
|
| 
 D 1  | 
 diâmetro do cubo [pol]  | 
|
| 
 l f  | 
 comprimento ativo do pino [pol]  |