Torque transferido
 
  
 
onde:
|  
			  P  | 
 
			  potência transferida [Kw]  | 
|
|  
			  n  | 
 
			  velocidade [mín -1 ]  | 
Pressão na superfície de suporte chanfrada
1. diâmetro interno do eixo d h > 0
a)
 
b) se d min ≤d h -> d min = 1,1 d h [mm]
c) se d min ≤ 1,5 d h -> d min = 1,5 d h [mm]
2. diâmetro interno do eixo d h = 0
 
  
 
onde:
|  
			  d mín  | 
 
			  diâmetro mínimo do eixo [mm]  | 
|
|  
			  d h  | 
 
			  diâmetro interno do eixo [mm]  | 
|
|  
			  T  | 
 
			  torque [Nm]  | 
|
|  
			  K a  | 
 
			  fator de aplicação  | 
|
|  
			  K f  | 
 
			  fator de vida útil de fadiga  | 
|
|  
			  S v  | 
 
			  segurança desejada  | 
|
|  
			  τ Al  | 
 
			  Tensão de corte suportada  | 
Comprimento mínimo das splines para transferir o torque
|  
			  1. Conexão fixa:  | 
 
			 ![]()  | 
|  
			  2. Conexão flexível:  | 
 
			 ![]()  | 
|  
			  onde:  | 
|  
			  T  | 
 
			  torque [Nm]  | 
|
|  
			  K a  | 
 
			  fator de aplicação  | 
|
|  
			  K f  | 
 
			  fator de vida útil de desgaste  | 
|
|  
			  K w  | 
 
			  fator de aplicação  | 
|
|  
			  K m  | 
 
			  fator de distribuição da carga  | 
|
|  
			  S v  | 
 
			  segurança desejada  | 
|
|  
			  d s  | 
 
			  diâmetro do meio = (D + d) / 2 [mm]  | 
|
|  
			  D  | 
 
			  diâmetro externo da seção chanfrado [mm]  | 
|
|  
			  d  | 
 
			  diâmetro interno da seção chanfrado [mm]  | 
|
|  
			  N  | 
 
			  número de ranhuras [-]  | 
|
|  
			  h  | 
 
			  altura chanfrada = (D - d) / 2 [mm]  | 
|
|  
			  s  | 
 
			  chanfro [mm]  | 
|
|  
			  h st  | 
 
			  altura de conexão h st = h - 2 s [mm]  | 
|
|  
			  p Dmin  | 
 
			  pressão suportada na superfície de suporte do eixo ou ranhura [MPa]  | 
Pressão suportada
|  
			  1. Conexão fixa:  | 
 
			 ![]()  | 
|  
			  2. Conexão flexível:  | 
 
			 ![]()  | 
|  
			  onde:  | 
|  
			  T  | 
 
			  torque [Nm]  | 
|
|  
			  K a  | 
 
			  fator de aplicação  | 
|
|  
			  K f  | 
 
			  fator de vida útil de desgaste  | 
|
|  
			  K w  | 
 
			  fator de aplicação  | 
|
|  
			  K m  | 
 
			  fator de distribuição da carga  | 
|
|  
			  S v  | 
 
			  segurança desejada  | 
|
|  
			  d s  | 
 
			  diâmetro do meio = (D + d) / 2 [mm]  | 
|
|  
			  D  | 
 
			  diâmetro externo da seção chanfrado [mm]  | 
|
|  
			  d  | 
 
			  diâmetro interno da seção chanfrado [mm]  | 
|
|  
			  N  | 
 
			  número de ranhuras [-]  | 
|
|  
			  h  | 
 
			  altura chanfrada = (D - d) / 2 [mm]  | 
|
|  
			  s  | 
 
			  chanfro [mm]  | 
|
|  
			  h st  | 
 
			  altura de conexão h st = h - 2 s [mm]  | 
|
|  
			  l f  | 
 
			  comprimento ativo da chave [mm]  | 
Verificação de resistência
p min ≤ p ds
p min ≤ p dh
onde:
|  
			  P mín  | 
 
			  pressão mínima calculada h/2 [MPa]  | 
|
|  
			  p ds  | 
 
			  pressão suportada no eixo [MPa]  | 
|
|  
			  p dh  | 
 
			  pressão suportada no cubo [MPa]  | 
Cálculo em unidades métricas segundo a norma CSN 01 4950
Tensão de vergadura
 
  
 
onde:
|  
			  s sf  | 
 
			  espessura de dedendum do dente cordal do eixo  | 
 
			  s sf = 2,17m  | 
|
|  
			  h  | 
 
			  altura do dente do eixo  | 
 
			  h = 1,1m - 0,05  | 
 
			  centralizado nos lados do dente, parte inferior chanfrada plana  | 
|  
			  h = 1,28m - 0,05  | 
 
			  centralizado nos lados do dente, parte inferior chanfrada redonda  | 
||
|  
			  h = 1,2 m  | 
 
			  centralização externa  | 
Pressão na superfície de suporte chanfrado
 
  
 
onde:
|  
			  h n  | 
 
			  altura da spline do rolamento da carga  | 
 
			  h n = 0,9 m - 0,05  | 
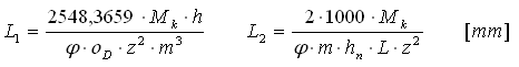
Comprimento mínimo das splines
L mín = máx {L 1 , L 2 } [mm]
onde:
 
  
 
Valores recomendados: L = (0,8 - 1,6) D
Verificação das splines
p ≤ p d e σ≤σ d
onde:
|  
			  P  | 
 
			  potência transferida [kW]  | 
|
|  
			  n  | 
 
			  velocidade [mín -1 ]  | 
|
|  
			  z  | 
 
			  número do dente [-]  | 
|
|  
			  p D  | 
 
			  pressão suportada nas superfícies de contato dos dentes [MPa]  | 
|
|  
			  σ D  | 
 
			  tensão de dobra suportada [MPa]  | 
|
|  
			  L  | 
 
			  comprimento ativo da spline [mm]  | 
|
|  
			  D  | 
 
			  diâmetro de spline nominal [mm]  | 
|
| ϕ |  
			  fator de contato da lateral do dente  |