Torque transferido
onde:
| 
 P  | 
 potência [kW]  | 
|
| 
 n  | 
 velocidade [rpm]  | 
Cálculo do diâmetro de eixo mínimo
1. diâmetro interno do eixo d h > 0
a)
 
b) se d min ≤d h -> d min = 1,1 d h [mm]
c) se d min ≤ 1,5 d h -> d min = 1,5 d h [mm]
2. diâmetro interno do eixo d h = 0

onde:
| 
 d mín  | 
 diâmetro mínimo do eixo [mm]  | 
|
| 
 d h  | 
 diâmetro interno do eixo [mm]  | 
|
| 
 T  | 
 torque [Nm]  | 
|
| 
 K a  | 
 fator de aplicação  | 
|
| 
 K f  | 
 fator de vida útil de fadiga  | 
|
| 
 S v  | 
 segurança desejada  | 
|
| 
 τ A  | 
 Tensão de corte suportada  | 
Cálculo geral
| 
 | 
 a faixa de atividade da força no eixo  | 
| 
 h k = h - h s - 2 s [mm]  | 
 a faixa de atividade da força no cubo  | 
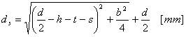
![]()  | 
 diâmetro do eixo da faixa da atividade da força  | 
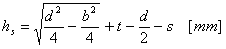
![]()  | 
 diâmetro do cubo da faixa de atividade da força  | 
| 
 | 
 força no eixo  | 
| 
 | 
 força no cubo  | 
| 
 onde:  | 
| 
 T  | 
 torque [Nm]  | 
|
| 
 F s  | 
 força no eixo [N]  | 
|
| 
 F h  | 
 força no cubo [N]  | 
|
| 
 K a  | 
 fator de aplicação  | 
|
| 
 K f  | 
 fator de vida útil de desgaste  | 
|
| 
 K w  | 
 fator de aplicação  | 
|
| 
 K m  | 
 fator de distribuição da carga  | 
|
| 
 S v  | 
 segurança desejada  | 
|
| 
 d  | 
 diâmetro do eixo [mm]  | 
|
| 
 d s  | 
 diâmetro do eixo onde atua a força F s [mm]  | 
|
| 
 d h  | 
 diâmetro do eixo onde atua a força F d [mm]  | 
|
| 
 N  | 
 número de ranhuras [-]  | 
|
| 
 h  | 
 altura chanfrada  | 
|
| 
 h s  | 
 altura de ponto de força de ação no eixo [mm]  | 
|
| 
 h h  | 
 altura de ponto de força de ação no cubo [ mm]  | 
|
| 
 b  | 
 largura chanfrada  | 
|
| 
 t  | 
 profundidade chanfrada no eixo [mm]  | 
|
| 
 s  | 
 chanfro  | 
|
| 
 p Dmins  | 
 pressão mínima suportada (ranhura, eixo) [MPa]  | 
|
| 
 p Dminh  | 
 pressão mínima suportada (ranhura, cubo) [MPa]  | 
Comprimento mínimo de chave para transferir o torque
| 
 1. Conexão fixa:  | 
 a)  | 
| 
 b)  | 
|
| 
 L mín = mín(L mins , L minh )  | 
|
| 
 2. Conexão flexível:  | 
 a)  | 
| 
 b)  | 
|
| 
 L mín = mín(L mins , L minh )  | 
|
| 
 onde:  | 
| 
 F s  | 
 força no eixo [N]  | 
|
| 
 F h  | 
 força no cubo [N]  | 
|
| 
 K a  | 
 fator de aplicação  | 
|
| 
 K f  | 
 fator de vida útil de desgaste  | 
|
| 
 K w  | 
 fator de aplicação  | 
|
| 
 K m  | 
 fator de distribuição da carga  | 
|
| 
 S v  | 
 segurança desejada  | 
|
| 
 d  | 
 diâmetro do eixo [mm]  | 
|
| 
 N  | 
 número de ranhuras [-]  | 
|
| 
 h s  | 
 altura de ponto de força de ação no eixo [mm]  | 
|
| 
 h h  | 
 altura de ponto de força de ação no cubo [ mm]  | 
|
| 
 p Dmins  | 
 pressão mínima suportada (ranhura, eixo) [MPa]  | 
|
| 
 p Dminh  | 
 pressão mínima suportada (ranhura, cubo) [MPa]  | 
Pressão mínima suportada
| 
 1. Conexão fixa:  | 
 a)  | 
| 
 b)  | 
|
| 
 2. Conexão flexível:  | 
 a)  | 
| 
 b)  | 
|
| 
 onde:  | 
| 
 F s  | 
 força no eixo [N]  | 
|
| 
 F h  | 
 força no cubo [N]  | 
|
| 
 K a  | 
 fator de aplicação  | 
|
| 
 K f  | 
 fator de vida útil de desgaste  | 
|
| 
 K w  | 
 fator de aplicação  | 
|
| 
 K m  | 
 fator de distribuição da carga  | 
|
| 
 S v  | 
 segurança desejada  | 
|
| 
 d  | 
 diâmetro interno da seção chanfrado [mm]  | 
|
| 
 N  | 
 número de ranhuras [-]  | 
|
| 
 h s  | 
 altura de ponto de força de ação no eixo [mm]  | 
|
| 
 h h  | 
 altura de ponto de força de ação no cubo [ mm]  | 
|
| 
 l f  | 
 comprimento ativo da chave [mm]  | 
Verificação de resistência
p mins ≤ p Ds
p minh ≤ p Dh
onde:
| 
 p mins  | 
 pressão de corte mínima calculada no eixo [MPa]  | 
|
| 
 p minh  | 
 pressão de corte mínima calculada no cubo [MPa]  | 
|
| 
 p Ds  | 
 pressão suportada no eixo [MPa]  | 
|
| 
 p Dh  | 
 pressão suportada no cubo [MPa]  | 
Cálculo simplificado
Comprimento mínimo de chave para transferir o torque
| 
 1. Conexão fixa:  | 
![]()  | 
| 
 2. Conexão flexível:  | 
![]()  | 
| 
 onde:  | 
| 
 T  | 
 torque [Nm]  | 
|
| 
 K a  | 
 fator de aplicação  | 
|
| 
 K f  | 
 fator de vida útil de desgaste  | 
|
| 
 K w  | 
 fator de aplicação  | 
|
| 
 K m  | 
 fator de distribuição da carga  | 
|
| 
 S v  | 
 segurança desejada  | 
|
| 
 d  | 
 diâmetro do eixo [mm]  | 
|
| 
 N  | 
 número de ranhuras [-]  | 
|
| 
 h  | 
 altura chanfrada  | 
|
| 
 s  | 
 chanfro  | 
|
| 
 h st  | 
 altura de conexão h st = h - 2 s [mm]  | 
|
| 
 p Dmin  | 
 pressão suportada na superfície de suporte do eixo, ranhura ou cubo [MPa]  | 
Pressão suportada
| 
 1. Conexão fixa:  | 
![]()  | 
| 
 2. Conexão flexível:  | 
![]()  | 
| 
 onde:  | 
| 
 T  | 
 torque [Nm]  | 
|
| 
 K a  | 
 fator de aplicação  | 
|
| 
 K f  | 
 fator de vida útil de desgaste  | 
|
| 
 K w  | 
 fator de aplicação  | 
|
| 
 K m  | 
 fator de distribuição da carga  | 
|
| 
 S v  | 
 segurança desejada  | 
|
| 
 d  | 
 diâmetro do eixo [mm]  | 
|
| 
 N  | 
 número de ranhuras [-]  | 
|
| 
 h  | 
 altura chanfrada  | 
|
| 
 s  | 
 chanfro  | 
|
| 
 h st  | 
 altura de conexão h st = h - 2 s [mm]  | 
|
| 
 l f  | 
 comprimento ativo da chave [mm]  | 
Verificação de resistência
p mín ≤ p Ds
p mín ≤ p Dh
onde:
| 
 P mín  | 
 pressão mínima calculada h/2 [MPa]  | 
|
| 
 p Ds  | 
 pressão suportada no eixo [MPa]  | 
|
| 
 p Dh  | 
 pressão suportada no cubo [MPa]  |