Pressão de contato
Comprimento mínimo do cubo
Valores recomendados : L = (0,6 - 3) d
Força suportada por um parafuso
Verificação de resistência
p≤ p A
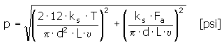
onde:
| 
 F a  | 
 força axial [libras]  | 
|
| 
 T  | 
 torque [libras/pés]  | 
|
| 
 d  | 
 diâmetro do eixo [pol]  | 
|
| 
 p  | 
 pressão de contato em uma junta [psi]  | 
|
| 
 p A  | 
 pressão suportada [psi]  | 
|
| 
 L  | 
 comprimento do cubo [pol]  | 
|
| υ | 
 fator de fixação υ = 0,008 a 0,1 [-]  | 
|
| 
 k s  | 
 segurança de deslizamento [-]  | 
|
| 
 F  | 
 força suportada por um parafuso [libras]  | 
|
| 
 F s  | 
 força suportada por todos os parafusos [libras]  | 
|
| 
 i  | 
 número total de parafusos [-]  |