Função

Para um determinado semieixo sempre tratado como positivo (x>0), é possível criar um conjunto de funções fi determinadas nos intervalos sucessivos separados pelos pontos característicos xi.

Ao definir a função fi para o intervalo especificado (xi, xi+1), o seguinte deverá ser considerado:

Para designar um argumento de funções criadas usando expressões, o símbolo x ou X deve ser usado. É possível criar as expressões usando os seguintes caracteres:

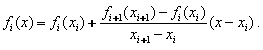
+, - , * , / , ^ (potência),( ,) de acordo com os princípios da matemática. A expressão inf determina um valor igual ao infinito para a função y(x). Expressões determinadas de forma incorreta (notação incorreta) gerarão valores de função iguais a zero. Se o argumento x for desconsiderado em uma expressão, significa que a expressão assume um valor constante em um determinado intervalo (se a expressão foi determinada usando “ ”). Se uma expressão constante for determinada sem “ ”, seu valor será considerado como o valor de uma função no ponto xi, enquanto os valores para x > xi serão interpolados linearmente entre os valores sucessivos da função de acordo com a fórmula:

Ao definir um modelo de articulação através da determinação de uma função, lembre-se de que as quantidades que descrevem os parâmetros da função devem ser expressas nas unidades de base do Robot, e não serão recalculadas quando as unidades forem alteradas.