As dimensões básicas de paredes são apresentadas no desenho a seguir.

Assume-se que:
a ≥ 10 cm são paredes internas
a ≥ 12 cm são paredes externas
As etapas individuais do algoritmo de cálculo para paredes sujeitas a cargas não sísmicas são as seguintes:
= parede sem armadura

= parede com armadura
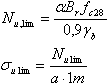
se λ ≤ 50, então

se 50 ≤ λ < 80, então
= parede sem armadura

= parede com armadura

A condição de capacidade de carga da parede é verificada quanto a três níveis de verificação. O projeto e a verificação da capacidade de carga da parede com armadura são feitos em faixas cuja largura depende da geometria da parede (com aberturas consideradas) e do caráter do diagrama de tensões na parede. A largura máxima de faixas individuais é calculada de acordo com o ponto 4.224 da norma DTU 23.1. A divisão em faixas considera as concentrações de tensão, áreas de tensão no concreto, bem como pontos característicos como zonas entre janelas.
A armadura em uma determinada faixa é calculada para a tensão média ou máxima ao longo da largura da faixa, dependendo se a compressão ou tensão é tratada.
Nas etapas subsequentes dos cálculos, a capacidade de carga de uma parede com ou sem armadura é, respectivamente, levada em conta.
A condição de capacidade de carga da parede é verificada quanto ao nível inferior da parede. A capacidade de carga da seção da parede é verificada quanto a cargas verticais reduzidas e a armadura é distribuída de forma uniforme em toda a seção.
Nas etapas subsequentes de cálculos, a capacidade de carga de uma parede com ou sem armadura é, respectivamente, levada em conta.
A relação mínima da armadura vertical deve ser igual a:
A armadura horizontal cumpre a condição relativa à taxa da armadura:
(a armadura é distribuída uniformemente ao longo da altura da parede)
A influência da curvatura é considerada em cada ponto de uma parede por meio da análise de um diagrama de tensão linear, enquanto a armadura vertical perto das arestas é gerada somente como armadura de construção. As zonas ocultas próximas às arestas são criadas gerando barras transversais que envolvem a armadura vertical distribuída sobre a largura d' (para paredes não sísmicas, essa dimensão é igual a no máx. (a;20 cm))
Como indicado nas suposições do método, os cálculos dessa armadura estão focados em assegurar que a flexão com compressão possa ser suportada por uma estrutura; ela é gerada em uma 'zona oculta' da largura igual a d'.
A armadura de cisalhamento que atravessa todo o comprimento da parede deve satisfazer a seguinte condição:
em que:
At – área de armadura
a, s – espessura da parede e espaçamento das barras horizontais
k – coeficiente que considera a influência das tensões normais no plano de cisalhamento
Armadura de antiencolhimento:
= vertical
= horizontal
Consulte também: Tipos de armadura gerados para paredes de CA