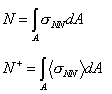
Forças internas na tabela

As forças resultantes equivalentes disponíveis na tabela de resultados são calculadas com base nas seguintes fórmulas

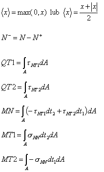
<…> – (símbolo de Föppl) ou o operador positivo expresso como: