Cargas variáveis

0

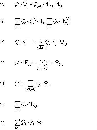
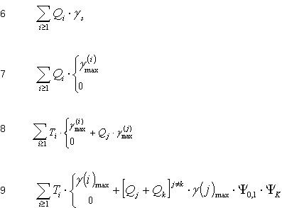
Nenhuma regra. É usada quando não está definida nenhuma regra na fórmula de uma combinação para um determinado tipo de carga.

A regra não leva em conta as subnaturezas.

Nota: A fórmula permite um fator ψ 0,1 e um fator ψ K para todas as subnaturezas.
Nota: A fórmula permite um fator ψ 0,1 e um fator ψ K para todas as subnaturezas.
Nota: A fórmula permite um fator ψ 0,3 para todas as subnaturezas.
Nota: A fórmula permite um fator ψ 0,3 e um fator ψ K para todas as subnaturezas.
Nota: A fórmula permite um fator ψ 0,1 e um fator ψ K para todas as subnaturezas.
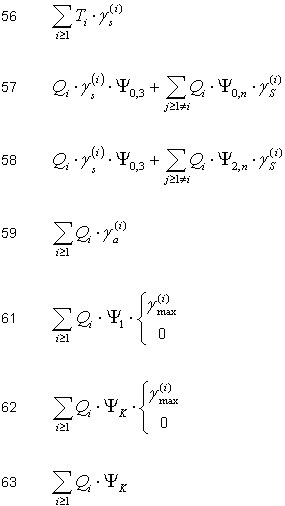
Nota: A fórmula permite um fator ψ 0,2 e um fator ψ 2,n para todas as subnaturezas.
Nota: A fórmula permite um fator y 0,3 e um fator ψ 0,2 para todas as subnaturezas.
Nota: A fórmula permite um fator ψ 0,3 e um fator ψ 0,2 para todas as subnaturezas.
Nota: A fórmula permite um fator ψ 0,3 e um fator ψ0,2 para todas as subnaturezas.
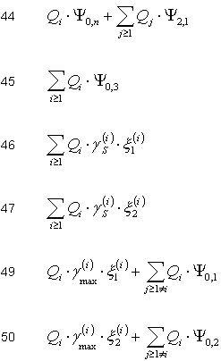
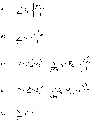
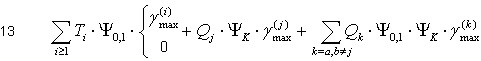
Nota: A fórmula permite um fator ψ K para todas as subnaturezas.
Nota: A fórmula permite um fator ψ K para todas as subnaturezas.
Nota: A fórmula permite um fator ψ K para todas as subnaturezas.
Nota: A fórmula permite um fator ψ K para todas as subnaturezas.
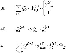
Nota: A fórmula permite um fator ψ para todas as subnaturezas.
Nota: A fórmula permite um fator ψ para todas as subnaturezas.
Nota: A fórmula permite um fator ψ K para todas as subnaturezas.
Nota: A fórmula permite um fator ψ K para todas as subnaturezas.
Nota: A fórmula permite um fator ψ K para todas as subnaturezas.