Modelo parabólico (de acordo com o EC)

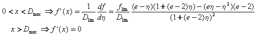
Os seguintes parâmetros do modelo parabólico (de acordo com o EC) são definidos para argumentos positivos x>0. O valor da derivada necessária para definir a rigidez também é especificado.

Quantidades auxiliares:

Função:

Derivada (rigidez):

Limitações: