Расчет пропорций прочности клиновых ремней

Общие используемые формулы

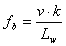
Где m-это определенная масса ремня, вычисляемая по формуле m = S ρ

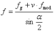
Измененный коэффициент трения данного шкива

f = f g + v f mod

Основные формулы для ведущего шкива и ремня

передаваемая мощность

Скорость ремня

Частоты изгибов ремня

Эффективная выемка (или эффективное натяжение)

Центробежная сила

Fc = z m v 2

Натяжение участков ремня

С помощью следующих формул приложение сначала определяет самый сомнительный шкив, для чего необходимо максимальное натяжение при установке ремня для передачи необходимой нагрузки. Затем настраивается натяжение ремня на каждом участке для всех шкивов относительно исходного натяжения при установке ремня.

F 1i - F p P xi - F 2i = 0

Критерием самого сомнительного шкива является максимально сильное натяжение стороны

F 1max = max (F 1i )

Общее максимальное натяжение участка ремня (на ремень) при работе ременного привода с полной нагрузкой определяется как

Где выражение “k 1 F 1max ” - это актуальное максимальное напряжение в ременном участке, учитываемое для всех ремней в ременной передаче. Таким образом, все соответствующие напряжения в индивидуальных участках заново подвергаются машинной обработке, чтобы отвечать следующим условиям:

F 1i - F p P xi - F 2i = 0

Результирующая осевая нагрузка для каждого шкива при работе ременного привода с полной нагрузкой

Прим.: Для ведущих и натяжных шкивов F 1 и F 2 меняются местами в генераторе так, что F 1 становится натяжением участка ремня на входе, а F 2 натяжением участка ремня на выходе в соответствии с движением ремня.

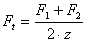
Исходное установочное натяжение ремня и статическая сила натяжения

Требуемое исходное натяжение при установке ремня (на ремень) можно настроить с помощью коэффициента натяжения и затем определить следующим образом:

Определяется статическая сила натяжения F v для каждого шкива. Приложение вычисляет силу натяжения, действующую вдоль осевой линии участков ремня следующим образом:

Значение используемых переменных:

F Касательная сила [Н]
β Дуга контакта [град]
α Угол клина [град]
C Центробежная сила [N]
N Нормальная сила [Н]
m Определенная масса ремня [кг/м]
v Скорость ремня [м/с]
R Радиус шкива [м]
S Площадь сечения ремня [м 2 ]
T Крутящий момент, действующий на заданный шкив [Nm]
D p Диаметр шага шкива [м]
k Количество шкивов [-]
P передаваемая мощность [N]
v Скорость ремня [м/с]
F c Центробежная сила [N]
F 1 Натяжение участка ремня на входе для данного шкива [-]
F 2 Натяжение участка ремня на выходе для данного шкива [-]
f Измененный коэффициент трения данного шкива [-]
P x Передаточное число заданного шкива [-]
f g Коэффициент трения заданного материала шкива и ремня [-]

f mod

Коэффициент скорости изменения трения [с/м]
Z Количество ремней [-]
ρ Плотность ремня [кг/м3]
F t Исходное установочное натяжение ремня [Н
F v Статическая сила натяжения для заданного шкива [Н]
k 1 Коэффициент натяжения ремня [-]
Прим.: i - индекс шкива