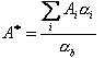
Главная функция модуля Определение сечений состоит в представлении геометрических свойств определяемых сплошных сечений. Для составных сечений рассчитываются только инерционные свойства, обозначаемые символом * по формулам:

где
i – номер материала составного сечения,
b – основной материал составного сечения.
Основные результаты касаются следующих геометрических и инерционных характеристик: площадь, координаты центра тяжести, размеры, основные параметры материала (модуль Юнга, плотность и собственный вес). Можно выбрать для выполнения дополнительных расчетов (выберите соответствующую опцию и нажмите кнопку Вычислить).
Пластический момент сопротивления сечения относительно главных центральных осей сечения вычисляются в соответствии с данной формулой:

Изгибающий момент относительно оси y или z, который соответствует полностью пластическому сечению, равен произведению модуля пластического сечения относительно оси y или z на значение предела текучести. фигуры равных площадей полученные путем перенесения нейтральной линии параллельно оси изображенной на
фигуры равных площадей полученные путем перенесения нейтральной линии параллельно оси изображенной на
Другие значения перечислены в диалоговом окне Результаты в таблице Главная система координат.