Средняя осадка

Расчет средней осадки предусмотрен во всех нормах, кроме французских DTU 13.12 и Fascicule 62 Titre V. Включение анализа данного предельного состояния, а также определение предельного значения осадки осуществляется в диалоговом окне Геотехнические опции.

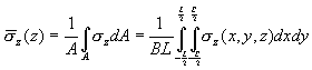
Расчеты средней осадки основываются на предположениях и формулах линейной теории упругости, точнее, вычисления проводятся на основе напряжений, вычисляемых по формуле Буссинеска, и на основе принципа суперпозиции.

  1. Грунт под фундаментом разделяется на слои толщиной не более чем:
    • половина наименьшего размера фундамента.
    • 0.5 метра.
    • толщина слоя грунта.
  2. Каждый слой n анализируется на основе величин, вычисленных на глубине Zn, являющейся глубиной центра слоя.
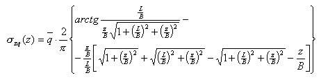
  3. Среднее напряжение s(z) на глубине Zn под фундаментом, вызванное внешними нагрузками, весом фундамента и весом выше расположенного грунта, определяется по приведенной формуле:

    где

    B — ширина прямоугольника (фундамента).

    L — длина прямоугольника (фундамента).

    Примечание. В СНиПе 2.02.01-83 используется другой метод расчета (смотрите ниже подробные описания для отдельных норм).

    Приведенная формула описывает среднее значение напряжений под прямоугольной областью. Эта формула получена из формулы, которая описывает распределение напряжений в упругом полупространстве, возникающем от действия сосредоточенной силы.

    Использование принципа суперпозиции позволяет вычислить напряжение в точке P(0; 0; Z), возникающее от действия равномерной нагрузки, распределенной по произвольной площади:

    В литературе известны решения приведенных выше уравнений для точек контура прямоугольной области, для точек под центром прямоугольной области, а также для среднего значения под прямоугольной областью. Среднее значение напряжения под прямоугольной областью определяется приведенной ниже формулой, которая после интегрирования приобретает форму, используемую в алгоритме расчета.

  4. Природное напряжение в грунте на глубине Zn , вызванное весом грунта, лежащего выше анализируемого слоя, определяется так:

    ПРИМЕЧАНИЕ. В случае появления грунтовых вод в расчетах учитывается Архимедова сила и вес воды.

  5. Дополнительные напряжения в грунте, учитываемые при расчете осадки, представляют собой разность между напряжениями, вызванными внешней нагрузкой, и природными напряжениями в грунте.

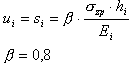
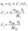
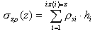
  6. Расчеты средней осадки слоя n осуществляются на основе свойств грунта.

    где:

    M0n – начальный (без учета эффекта релаксации), оедометрический (полученный на аппарате трехосного сжатия) модуль сжатия грунта в слое n. Соотношение между модулем Юнга и оедометрическим модулем сжатия выражается формулой:

    .

    ПРИМЕЧАНИЕ. В СНиПе 2.02.01-83 используется другой метод расчета (смотрите ниже подробные описания для отдельных норм).

    ПРИМЕЧАНИЕ. Если коэффициент Пуассона для данного типа грунта не задан, база данных грунтов программы Robot для отдельных стран может включать значение E = M, которое соответствует абсолютной сжимаемости материала (ν = 0.0); Типичным значением коэффициента Пуассона является значение 0.2÷0.3 для несвязных грунтов (величина 0.2 относится к грубозернистым грунтам таким, как гравий, величина 0.3 относится к мелкозернистым грунтам таким, как пылеватые) и 0.25÷0.37 для связных грунтов (величина 0.25 относится к высоко консолидированным грунтам, величина 0.37 – к илистым грунтам).

  7. Общая осадка грунта представляет собой сумму значений осадок отдельных слоев.
  8. Значения в слоях складываются до тех пор, пока добавляемые напряжения не станут достаточно малы по сравнению с естественными напряжениями в грунте.

В отдельных национальных нормах имеются следующие ограничения и требования:

  1. ACI \ BS 8004:1986 \ CSA значения осадки в слоях добавляются до тех пор, пока не будет достигнута глубина, на которой предельное значение дополнительных напряжений составляет менее 30% от естественных напряжений в грунте.
  2. DTU 13.12 \ Fascicule 62 Titre V

    Расчет данного предельного состояния не предусмотрен.

  3. ENV 1994 1997-1 (ЕС 7)

    Расчеты, представленные в основном описании, соответствуют требованиям, сформулированным в пункте 6.6.1 и Приложении D. Значения осадки в слоях добавляются, пока не будет достигнута глубина, на которой предельное значение дополнительных напряжений составляет менее 20% от естественных напряжений в грунте[6.6.1] (2).

  4. EN 1997-1:2004 (ЕС 7)

    Расчеты, представленные в основном описании, соответствуют требованиям, сформулированным в пункте 6.6.1 и Приложении D. Значения осадки в слоях добавляются, пока не будет достигнута глубина, на которой предельное значение дополнительных напряжений составляет менее 20% от естественных напряжений в грунте[6.6.2] (6).

  5. PN-81/B-03020

    Расчет значений осадки проводится в соответствии с требованиями норм, изложенными в пункте 3.5 и Приложении 2. Приведенные в основном описании формулы для напряжений в грунте соответствуют формуле Z2-9 для средних напряжений под прямоугольной областью и формуле 16 для естественных напряжений в грунте (без учета эффекта давления потока) и используются в расчетах. Эффект давления потока не учитывается.

    В отличие от других норм здесь имеется возможность рассматривать эффекты разгрузки при выемке грунта экскаватором в соответствии с разделом 3.5.1.2; эффекты разгрузки рассчитываются как отрицательные напряжения, вызванные внешними нагрузками, эквивалентными весу удаленного грунта. Эта опция может быть включена в диалоговом окне Геотехнические опции (опция Время производства строительных работ), что эквивалентно определению нормативного значения l равным 0.0 или 1.0 в соответствии с разделом 3.5.3. Это означает, что общая осадка грунтового слоя рассчитывается по формуле.

    Вторая формула идентична формуле для осадки грунтового слоя, приведенной в основном алгоритме.

    В польских нормах значения осадок в слоях добавляются до тех пор, пока не будет достигнута глубина, на которой дополнительные напряжения составляют менее 30% от естественных напряжений в грунте.

  6. СНиП 2.02.01-83

    Расчеты осадок производятся в соответствии с требованиями норм, изложенными в пункте 2.39 и Приложении 2.

    Напряжения, вызванные внешней нагрузкой, рассчитываются на основе нормативной формулы (2) Приложения 2:

    Коэффициент α определяется на основе Таблицы 1 Приложения 2. Между значениями, приведенными в таблице, предполагается линейная интерполяция.

    Значения осадки в слоях добавляются до тех пор, пока не будет достигнута глубина, на которой дополнительные напряжения составляют менее 20% от естественных напряжений в грунте. В случае, если слой на этой глубине имеет значение модуля Юнга E<5МПа или слой лежит непосредственно под слоем с таким модулем, то расчеты продолжаются до тех пор, пока не будет достигнута глубина, на которой предельное значение дополнительных напряжений составляет менее чем 10% от естественных напряжений в грунте (пункт 6 Приложения 2).