Параболическая модель (согласно EC)

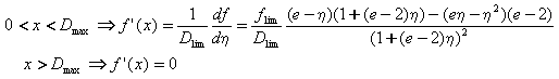
Параметры параболической модели (согласно ЕС), определенные для положительных аргументов x>0 (значение производной необходимо для определения жесткости):

Дополнительные величины:

Функция:

Производная (жесткость):

Ограничения: