指定层的弹性常量和热系数。
下列字段必须在“常量”选项卡中指定(字段 J、K 和 L)。

以下是标准层材料特性。Helius PFA 将层视为横向各向同性。
E11(必需):纤维方向上层的杨氏模量。
E22(必需):横向方向上层的杨氏模量。 (此模量等效于 E33 模量)
ν12(必需):平面内泊松比。 (此比率等效于 ν13 比)
ν23(必需):层内泊松比。
G12(必需):平面内层剪切模量。 (此模量等效于 G13 模量)
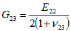
G23:层内剪切模量。此值将使用以下方程自动计算:

α11(可选):层纵向热膨胀系数。 这仅在需要热分析时才是必需的。
α22(可选):层横向热膨胀系数。 这仅在需要热分析时才是必需的。(此系数等效于 α33 系数)
Helius PFA 将纤维成分特性视为横向各向同性。如果这些成分特性未知,Autodesk 提供了默认成分特性,这些特性可通过以下方式输入:在纤维类型下拉菜单下选择某一纤维,然后单击“应用材料类型特性”。纤维类型为将在以下情况下修改的成分特性提供了一个起始点:当 mdata 文件已保存以关联指定的层特性时。当前,默认特性仅为碳、玻璃和克维拉纤维提供。如果您具有其他材料系统,请与 Autodesk 联系以完成材料特征化。如果需要热分析,则必须输入热膨胀系数。如果复合材料热膨胀系数保留为零,则纤维热膨胀也必须设为零。附录 A 中提供了关于默认材料特性由来的说明。
默认情况下,Helius PFA 将基体成分特性视为横向各向同性。如果要强制基体成分的各向同性材料对称性,可以选中“保持基体特性各向同性”复选框。如果这些成分特性未知,Autodesk 提供了默认成分特性,这些特性可通过以下方式输入:在基体类型下拉菜单下选择某一基体,然后单击“应用材料类型特性”。基体类型为将在以下情况下修改的成分特性提供了一个起始点:当 mdata 文件已保存以关联指定的层特性时。当前,默认特性仅为热固性、热塑性和 BIM 树脂而提供。如果您具有其他材料系统,请与 Autodesk 联系以完成材料特征化。如果需要热分析,则必须输入热膨胀系数。如果复合材料热膨胀系数保留为零,则基体热膨胀也必须设为零。附录 A 中提供了关于默认材料特性由来的说明。