標示和圖說的多重引線

圖面中最常用的註解是標示和圖說。這些項目根據內容和符號傳達出各種類型的資訊和識別。在 AutoCAD 中建立這些物件最先進的工具是多重引線工具 MLEADER。以下是一些您可以輕鬆建立多重引線的範例。

使用多重引線而不是使用其他方法的主要優點如下:

當您建立一個或多個多重引線型式時,有大量選項可用。

註: 影片沒有包含聲音或字幕。

註: 步驟、影像和視訊可能隨產品版本而略有不同。

建立標準多重引線

  1. 在「常用」頁籤上的「註解」面板中,按一下「多重引線」。
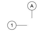
  2. 指定箭頭的起點 (1)、連字線的起點 (2),然後輸入 402 (3)。然後,按一下繪圖區域中的其他任何位置 (4) 結束指令。

就像使用標註和文字型式的情況一樣,多重引線型式會控制放置的內容,以及內容的外觀。開始的最好方法就是建立幾個符合您需求的多重引線型式。

建立標示圈圖說型式

  1. 在「常用」頁籤上,按一下「註解」下拉式面板,然後在清單中按一下第三個控制項。
  2. 在「多重引線型式管理員」中,按一下「新建」(1),輸入「標示圈圖說」做為新的型式名稱 (2),然後按一下「繼續」(3)。
  3. 接下來,按一下「內容」頁籤 (1),將多重引線類型從「多行文字」變更為「圖塊」(2)。對「來源圖塊」,選擇「圓」(3)。然後按一下「確定」。
  4. 在多重引線型式管理員中,按一下「關閉」。

    新的多重引線型式會自動設定為「目前的」。

提示: 若要讓任何額外的多重引線型式可用於所有新圖面,請在圖面樣板 (DWT) 檔案中建立這些型式。

建立多重引線

  1. 使用 RECTANG 指令建立一個小矩形。
  2. 在功能區上,按一下「註解」頁籤並找到「引線」面板。面板會確認「標示圈圖說」是目前的多重引線型式。
    提示: 如果您建立許多條多重引線,您可能會偏好使用「引線」功能區面板以更快進行作業。
  3. 在「引線」面板的左側按一下「多重引線」工具列。
  4. 使用「端點」物件鎖點,按一下矩形的角點以指定箭頭位置 (1)。然後按一下引線連字線的位置 (2),在「編輯屬性」對話方塊中輸入一個字母或數字 (3),然後按一下「確定」。
  5. 重複上述步驟,以建立如下圖的樣子:
註: MLEADER 指令提供變更指令輸入順序的選項,無論您想要先指定箭頭、連字線或內容均可。

修改多重引線

  1. 選取矩形,然後移動。

    請注意,當您移動矩形時,箭頭和引線會跟著調整。依預設,當箭頭與物件鎖點貼附時,多重引線是關聯式的。

  2. 按一下「加入引線」工具,然後選取頂端的多重引線 (1)。在矩形上指定另一個點 (2)。
  3. 按一下多重引線的「對齊」工具,然後選取三條多重引線。
  4. 選取最上面的多重引線做為對齊參考。
  5. 使用 F8 打開「正交」模式,然後按一下垂直向上或向下的某個點位置讓它們垂直對齊。

    選取的多重引線現在會垂直對齊,如圖所示。

使用掣點調整多重引線

  1. 選取底端的多重引線以顯示其掣點。
  2. 將游標懸停在中間的頂點掣點上,以顯示選項功能表。
  3. 按一下「拉伸」選項,然後按一下比較高一點的新位置。
    提示: 如果不按「拉伸」,可以按一下掣點本身以變更多重引線的位置。
  4. 在多重引線的任一端上實驗其他掣點,讓您更熟悉它們。
    註: 在箭頭尾端重新定位掣點以結束其關聯性。您需要使用 DIMREASSOC 將箭頭與物件的物件鎖點位置重新關聯。

實驗不同設定和圖塊

嘗試實驗不同的多重引線型式設定。例如,您可以在「圖說標示圈」型式中變更設定,輕鬆地建立如下的多重引線型式。

  1. 開啟「多重引線型式管理員」。

    您也可以如圖所示從「註解」頁籤的「引線」面板直接執行此作業。

  2. 選取型式,然後按一下「修改」。
  3. 在「引線結構」頁籤上,清除「自動包含連字線」選項。
  4. 在「內容」頁籤上,按一下「貼附」下拉式清單,然後選擇「插入點」。
  5. 按一下「確定」,再按一下「關閉」。
  6. 使用已修改的型式建立多個新的多重引線物件。

您也可以為柱格線標示建立如下的多重引線型式:

  1. 再次開啟「多重引線型式管理員」,按一下「新建」(1)。
  2. 在「建立新多重引線型式」對話方塊中,如有必要,選擇「起始於: 標示圈圖說」(2),輸入「欄標示」並做為新的型式名稱 (3),然後按一下「繼續」(4)。
  3. 在「引線格式」頁籤上,對箭頭符號選擇「無」。
  4. 按一下「確定」,然後按一下「關閉」。 在打開「正交」[F8] 的狀況下,使用新的多重引線型式建立幾個欄標示。

嘗試實驗其他設定,建立您專屬的圖塊定義與屬性。您會發現「多重引線」功能提供一種有效率的方法來建立和管理各種標示和圖說。

建立和修改多重引線物件

以下是與建立和修改多重引線物件及其型式相關、最常用的指令和系統變數。

指令 描述
MLEADER 建立一條連接功能註解的線
MLEADERALIGN 對齊並分隔選取的多重引線物件
MLEADERCOLLECT 將所選包含圖塊的多重引線組織到列或欄中,並使用單引線顯示結果
MLEADEREDIT 將引線加入至多重引線物件或從多重引線物件中移除引線
MLEADERSTYLE 建立和修改多重引線型式
系統變數 描述 預設值 儲存位置
GALLERYVIEW 在功能區下拉式圖庫中控制預覽的類型,包括多重引線型式的下拉式清單 1 登錄
MLEADERSCALE 設定套用至多重引線物件的整體比例係數 1.0000 圖面

使用「AutoCAD 說明」系統,可進一步瞭解這些指令及其相關的系統變數。您可以試用系統變數設定,以找出最符合需求的設定。