Turbulent Axisymmetric Pipe Flow

Analysis Characteristics

Reference

White, F.M., Fluid Mechanics, McGraw-Hill (1986).

Problem Description

A 2D circular pipe is analyzed to verify the fluid flow and turbulence modeling capabilities of Autodesk® CFD.

The k- turbulence model is used.

The Reynolds number based on the pipe diameter, , is 14,960.

The pressure drop is measured across an interval 50 m downstream of the inlet:

Geometry and Boundary Conditions

Results

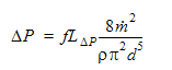
Analytical and numerical calculations of pressure drop are compared. The analytical expression for pressure drop from White (1986) is:

The Darcy friction factor is computed from the Blasius expression:

Using these parameters:

in the expressions above, the following results are computed:

 Benchmark2018: Build 20170308% Error2019: Build 20180130% Error
  4.0e5 Pa397477.34 Pa0.63397477.34 Pa0.63