Laminar Thermal-Driven Cavity

Analysis Characteristics

Reference

Davis, G. De Vahl and Jones, I.P., “Natural convection in a square cavity: a comparison exercise”, Inter. Jour. for Num. Meth. in Fluids, 3, (1983).

Problem Description

Temperature and velocity distributions are calculated for laminar, buoyancy-driven flow in a square cavity. The top and bottom walls are insulated, and the left and right walls are at fixed temperatures differing by 1 K.

The Rayleigh number is computed from:

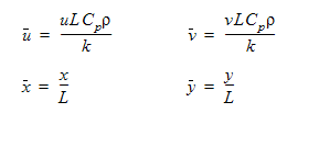
This problem is analyzed to verify the fluid flow and heat transfer modeling capabilities of Autodesk® CFD. Accuracy is assessed by comparing velocity components at specific locations in the cavity. Velocities and coordinates are normalized in accordance with Davies, et al. (1983) as follows:

Geometry and Boundary Conditions

Results

Using the expressions defined above for , , and , the following results are computed:

 Benchmark2018: Build 20170308  % Error2019: Build 20180130  % Error
  16.17816.1910.07916.1850.04399
  0.823.825.243.825.243
  19.61719.666.25119.651.175
  0.119.120.840.120.840