Úprava uživatelských výrazů rozvinu

Použitím uživatelských výrazů určete přesně jak chcete realizovat rozvinutí zón ohybu v rámci ohnuté plechové části modelů.

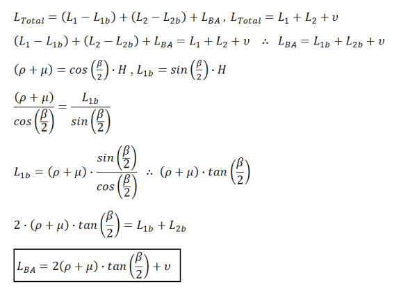
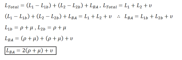
Plechové součásti jsou definovány ohnutým nebo funkčním stavem, ale jsou vyráběny z plochého plechu. Ohyby, které se rozvinou, deformují materiál v mezích zóny ohýbání. Rozsah deformace závisí na některých proměnných. Transformace složeného modelu na rovný stav vyžaduje výpočty pro danou deformaci pomocí jedné ze tří metod:

Uživatelské výrazy jsou definovány v rámci pojmenovaného pravidla rozvinu, které je definováno pomocí dialogu Editor stylu a norem.

Typ kompenzace ohybu

Celkovou rozvinutou délku lze určit pomocí výrazu kompenzace ohybu:

kde:
  • . je celková rozvinutá délka,
  • . je délka od první plochy detailu k pomyslné hraně,
  • . je délka od druhé plochy detailu k pomyslné hraně,
  • . je výsledek výpočtu přídavku na ohyb. Inventor vypočte přídavek na ohyb pomocí následujících výrazů. Pokud jde o úhlové případy, kde , používá aplikace Inventor výraz , kde:
    • . je úhel ohybu,
    • . je délka přídavku na ohyb,
    • . je vnitřní poloměr plochy ohybu,
    • . je tloušťka plechu,
    • . je výsledek výpočtu přídavku na ohyb.

Rozšíření původního výrazu, aby zahrnoval výpočet přídavku na ohyb, bude následující:

Pokud jde o úhlové případy, kde , použije se následující výraz:

Rozšíření původního výrazu, aby zahrnoval výpočet přídavku na ohyb, bude následující:

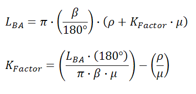
Jakmile je přídavek na ohyb stanoven, kSoučinitel lze odvodit pomocí následujícího vztahu:

Typ odvození ohybu

Výraz odvození ohybu slouží k určení celkové rozvinuté délky:

kde:
  • . je celková rozvinutá délka,
  • . je délka od první plochy detailu k pomyslné hraně,
  • . je délka od druhé plochy detailu k pomyslné hraně,
  • . je výsledek výpočtu přídavku na ohyb.

Použití výrazu odvození ohybu je metoda výpočtu, která je přesným opakem metody kompenzace ohybu.

Inventor vypočte pro odvození ohybu přídavek na ohyb pomocí následujících výrazů.

Platí-li pro úhel nerovnice:

výraz je , kde:
  • . je úhel ohybu,
  • . je délka přídavku na ohyb,
  • . je vnitřní poloměr plochy ohybu,
  • . je tloušťka plechu,
  • . je výsledek výpočtu přídavku na ohyb.

Pokud jde o úhlové případy, kde , použije se následující výraz:

Typ vůle ohybu

Chcete-li určit celkovou rozvinutou délku , použijte výraz přídavku na ohyb:
  • . je celková rozvinutá délka,
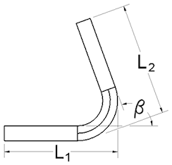
  • . je délka první ohnuté plochy,
  • . je délka druhé ohnuté plochy
  • . je výsledek výpočtu přídavku na ohyb.

Definovaný výraz je uveden k přímému řešení přídavku na ohyb. KSoučinitel může být odvozen z následujícího výrazu:

Typ KSoučinitele

Stanovení celkové rozvinuté délky pomocí KSoučinitele používá výraz:

kde:
  • . je celková rozvinutá délka,
  • . je délka první ohnuté plochy,
  • . je délka druhé ohnuté plochy
  • . je výsledek výpočtu přídavku na ohyb.

Přídavek na ohyb je počítán pomocí následující rovnice:

Úprava uživatelských výrazů rozvinu

Popisuje, jak lze definovat čtyři typy uživatelských výrazů při úpravě pojmenovaného pravidla rozvinu.

Typ výrazu vybraný v editoru stylů a norem určuje proměnnou, která definuje levou stranu výrazu. Klávesy k zadání znaku v dialogu Úpravy výrazů poskytují možnost vložit jedním kliknutím úhel, poloměr, tloušťku a Pí.

Typ proměnné je definován vybraným typem výrazu v dialogu Editor stylů a norem před otevřením dialogu Úpravy výrazů.

  1. Pokud je v dialogu Editor stylů a norem jako metoda rozvinu vybrána možnost Uživatelský výraz, klikněte dvakrát v buňce Uživatelský výraz umístěné vlevo od ohraničující podmínky, u které chcete uživatelský výraz definovat.
  2. V dialogu Úprava výrazu zadejte výraz, který definuje proměnnou zobrazenou mimo pole pro zadání výrazu:
    • . Vloží změřenou proměnnou úhlu do uživatelského výrazu rozvinu.
    • . Vloží změřenou proměnnou vnitřního poloměru do uživatelského výrazu rozvinu.
    • . Vloží změřenou proměnnou tloušťky do uživatelského výrazu rozvinu.
    • . Vloží matematickou hodnotu Pí do uživatelského výrazu rozvinu.
    • Pole pro zadání výrazu přijímá zadání z klávesnice, kterým se definuje uživatelský výraz rozvinu.
  3. (Volitelné) Chcete-li změnit typ proměnné, pro kterou se řeší uživatelský výraz, klikněte na tlačítko Storno a poté vyberte správný typ výrazu v dialogu Editor stylů a norem.

Úprava hraničních podmínek uživatelských výrazů rozvinu

Výrazy rozvinu lze definovat u rozsahů úhlů, poloměrů nebo tloušťek tak, že určíte hraniční podmínky pomocí dialogu Úpravy ohraničení.

  1. Pokud je jako metoda rozvinu v dialogu Editor stylů a norem vybrána položka Uživatelský výraz, klikněte dvakrát v buňce Ohraničující podmínka umístěné vpravo od uživatelského výrazu, pro který chcete ohraničující podmínku definovat.
  2. V dialogu Úpravy ohraničení v horním řádku rozevíracích seznamů vyberte operátor rovnosti a typ rozsahu k vytvoření výrazu, který určuje rozsah úhlu, tloušťky nebo poloměru.
  3. V dolních řádcích v polích na levé a pravé straně zadejte hodnoty mezí hraničních podmínek.