Vzorce pro výpočty dělených nábojů v britských jednotkách

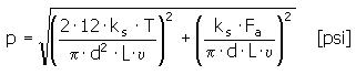
Stykový tlak

Minimální délka náboje

Doporučené hodnoty: L = (0,6 - 3) d

Síla připadající na jeden šroub

Pevnostní kontrola

p p A

kde:

 

F a

axiální síla [lb]

 

T

krouticí moment [lb ft]

 

d

průměr hřídele [in]

 

p

dotykový tlak ve spoji [psi]

 

p A

přípustný tlak [psi]

 

L

délka náboje [in]

  υ

součinitel sevření υ = 0,008 až 0,1 [-]

 

k s

zabezpečení proti skluzu [-]

 

F

síla připadající na jeden šroub [lb]

 

F s

celková síla připadající na všechny šrouby [lb]

 

i

celkový počet šroubů [-]