Dieser Materialtyp wird für explizite Analysen nicht unterstützt. Nachdem Sie Orthotrop 3D aus der Dropdown-Liste Typ ausgewählt haben, sind die folgenden Materialbereiche verfügbar: Allgemein, Steifheit, Scherung, Poissonzahl, Thermische Ausdehnung, Zulässige Werteund Thermisch.
Materialstabilität erfordert, dass:
Wenn eine Bedingung nicht erfüllt ist, wird eine Warnmeldung ausgegeben.
Es kann schwierig sein, alle neun orthotropen Konstanten zu finden. In einigen Fällen sind die Materialeigenschaften möglicherweise auf normale Anisotropie reduziert, in der das Material in einer Ebene (d. h. Ebene 1-2) isotrop ist und über andere Eigenschaften in der Richtung senkrecht zu dieser Ebene verfügt. In der Ebene der Isotropie sind die Eigenschaften reduziert auf:
wobei
und
.
Es gibt fünf unabhängige Materialkonstanten für normale Anisotropie (d. h.
,
,
,
,
und
). Falls das Material eine planare Anisotropie aufweist, in der das Material nur in einer Ebene orthotrop ist, werden die elastischen Konstanten auf sieben reduziert (d. h.
,
,
,
,
,
und
).
-
Allgemein
- Die Massendichte, der Materialdämpfungskoeffizient und die Referenztemperatur werden hier für ein orthotropes 3D-Material eingegeben.
- Die Massendichte, RHO, wird verwendet, um automatisch die Masse für alle strukturellen Elemente zu berechnen.
- Um den Dämpfungskoeffizienten GE zu ermitteln, multiplizieren Sie das kritische Dämpfungsverhältnis C/C0 mit 2,0. Wenn für die Materialstrukturdämpfung keine dominante Frequenz definiert ist (siehe Abschnitt Dämpfungen), dann wird GE in transienten Antwortanalysen ignoriert.
- TREF wird nur als Referenztemperatur für die Berechnung der thermischen Last in linearen Lösungen verwendet. Wenn eine Ausgangstemperaturlast angegeben ist, wird TREF ignoriert.
-
Steifheit
- Sie können das Elastizitätsmodul für die longitudinalen, lateralen und Dickerichtungen eingeben.
-
Scherung
- Sie können die Schermodule in der Ebene sowie die seitlich queren und Längsquerschermodule eingeben.
- Ein ungefährer Wert für G2z und Gz1 ist das Schermodul in der Ebene G12. Wenn die Testdaten zur genauen Bestimmung von G23 und G31 nicht verfügbar sind, kann der Wert zu G12 für G2z und Gz1 bereitgestellt werden.
-
Poissonzahl
- Die dreidimensionalen Poissonzahlen sind hier eingegeben.
-
Thermische Ausdehnung
- Die dreidimensionalen thermischen Ausdehnungskoeffizienten werden hier eingegeben.
-
Zulässige Werte
- Die zulässige Spannung und Komprimierung für alle drei Richtungen werden hier ebenso eingegeben wie die Größen für die zulässige Scherung und die Interaktion, die für die Tsai-Wu-Ausfallkriterien verwendet werden.
- Xt, Yt, Zt, S12, S23 und S31 sind erforderlich für die Ausfallberechnungen von Verbundelementen, wenn dies im FT-Feld des PCOMP-Eintrags angefordert wird. Xc, Yc und Zc werden auch verwendet, sind aber nicht erforderlich.
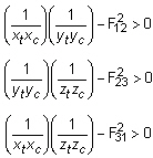
- Die Interaktionsgrößen F12, F23 und F31 werden experimentell aus Prüfstücken unter multiaxialer Belastung ermittelt. Diese Schwierigkeit zusammen mit der Einschränkung, dass F12, F23 und F31 Stabilitätskriterien der Form
erfüllen, führt zu Komplikationen in der Verwendung dieser Theorie. Aus diesem Grund wird empfohlen, F12, F23 und F31 auf Null zu setzen.
-
Thermisch
-
Bei thermischen Analysen können Sie Werte für eine Wärmeleitfähigkeitsmatrix, spezifische Wärme und die Massendichte im Bereich Thermisch eingeben. Die Massendichte wird wiederholt, da sie möglicherweise in thermischen Analysen und Strukturanalysen erforderlich ist.
- Kij definiert eine Wärmeleitfähigkeitsmatrix.